Предмет: Алгебра,
автор: losyashik2004
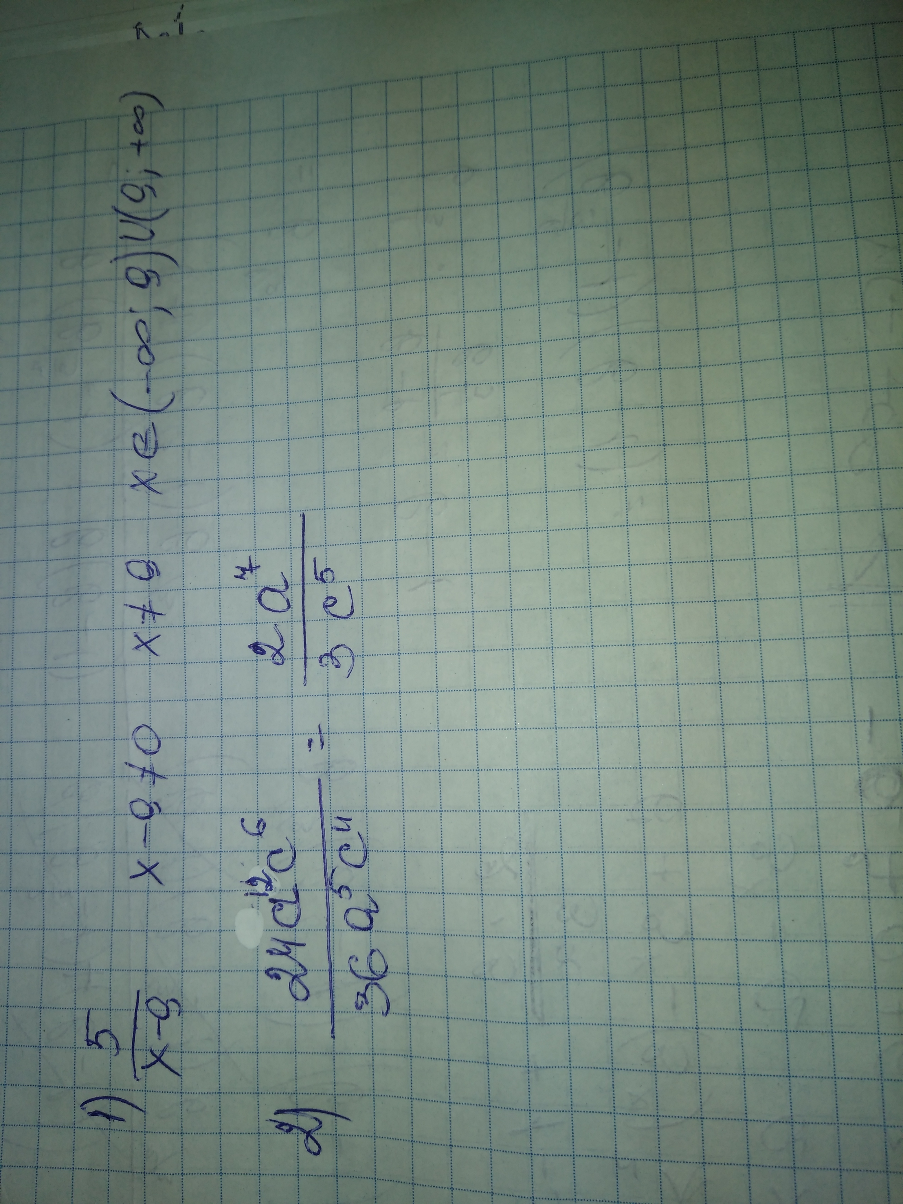
1.При каких значениях переменной имеет смысл выражение 5/x-9
2.24a^12c^6/36a^5c^11
Спасибо!)
MizoriesKun:
24 в 12 степени? Или что то пропустили ?
Ауууу
Наверное там переменная а ?
lf
да
Ответы
Автор ответа:
1
Смотри..............
Приложения:
сенк бро)
Похожие вопросы
Предмет: Русский язык,
автор: polina800204
Предмет: Литература,
автор: DeathInsider
Предмет: Русский язык,
автор: KorobkovaKsusa30
Предмет: Информатика,
автор: Аноним
Предмет: Математика,
автор: влод2