Предмет: Алгебра,
автор: fjcdhjudevsvn
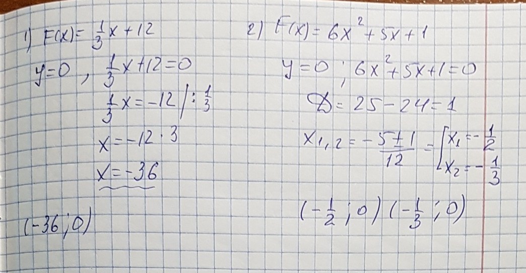
Найдите нули функции:
1) F(x)=1/3x +12
2) F(x)=6x2+5x+1
пж очень срочно
Ответы
Автор ответа:
12
решение задания смотри на фотографии
Приложения:
Похожие вопросы
Предмет: Информатика,
автор: janjsjsjaj
Предмет: Физика,
автор: Podoryannikita
Предмет: Химия,
автор: flexz192
Предмет: Математика,
автор: бексултан3
Предмет: Математика,
автор: olenkason