Предмет: Алгебра,
автор: jmedvedeva417
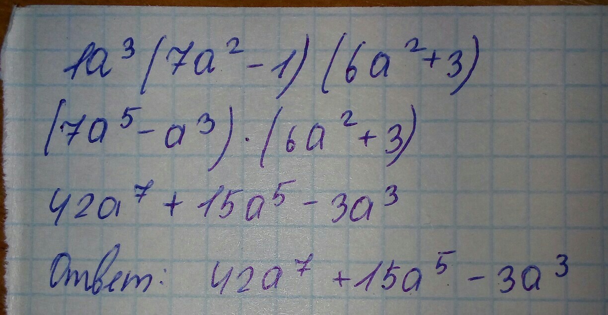
Упростите выражение:
1
a
3
(
7
a
2
−
1
)
(
6
a
2
+
3
)
Напишите ответ как написано ниже
Приложения:
Ответы
Автор ответа:
0
Вроде бы такой ответ должен быть.
Приложения:
Похожие вопросы
Предмет: Другие предметы,
автор: roddlokss
Предмет: Українська мова,
автор: simsonaanna
Предмет: Обществознание,
автор: katai9796
Предмет: Математика,
автор: ishgarin1997
Предмет: Математика,
автор: yansubaevadiana