Предмет: Алгебра,
автор: fatya1096
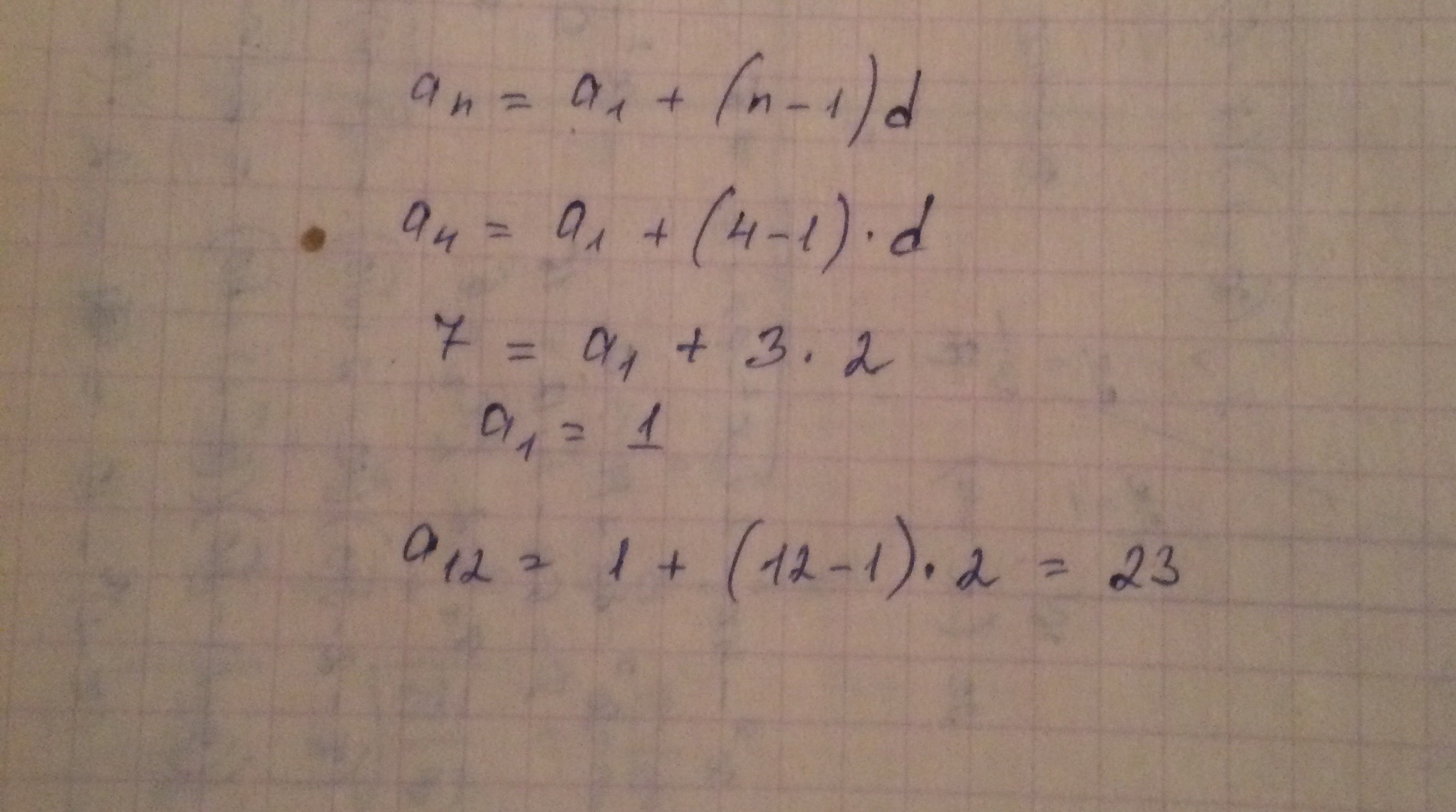
d=2
a4=7
a12=? Помогите решить прогрессию
Ответы
Автор ответа:
1
Из формулы n-го члена найдём а1, потом а12
Приложения:
Похожие вопросы
Предмет: Право,
автор: lakalist
Предмет: Физика,
автор: lolnf
Предмет: Химия,
автор: kanminsok
Предмет: Математика,
автор: salta84