Предмет: Химия,
автор: danilkas25
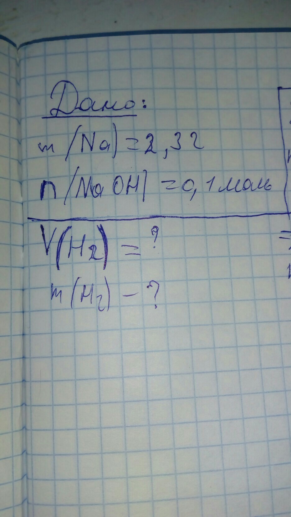
кусочек натрия массой 2,32г добавили в стакан воды, определить выделение водорода
Приложения:
Ответы
Автор ответа:
2
2Na+2H2O=2NaOH+H2
M(Na)=23г/моль
n(Na)=2,32/23=0,1моль
nNa: nH2=2:1
=2:1
n(H2)=0,1/2=0,05моль
V(H2)=22,4*0,05=1,12л
danilkas25:
ты массу водоролане указал, но если что, то 0.05*2=0.10 водорода
спасибо)
да извини
Похожие вопросы
Предмет: Химия,
автор: Hawkey7guts
Предмет: Математика,
автор: alenamol159
Предмет: Физика,
автор: popovaviktoria919
Предмет: Алгебра,
автор: nikolaifidirko
Предмет: Алгебра,
автор: petuhova2012