Предмет: Алгебра,
автор: kolaglazov13
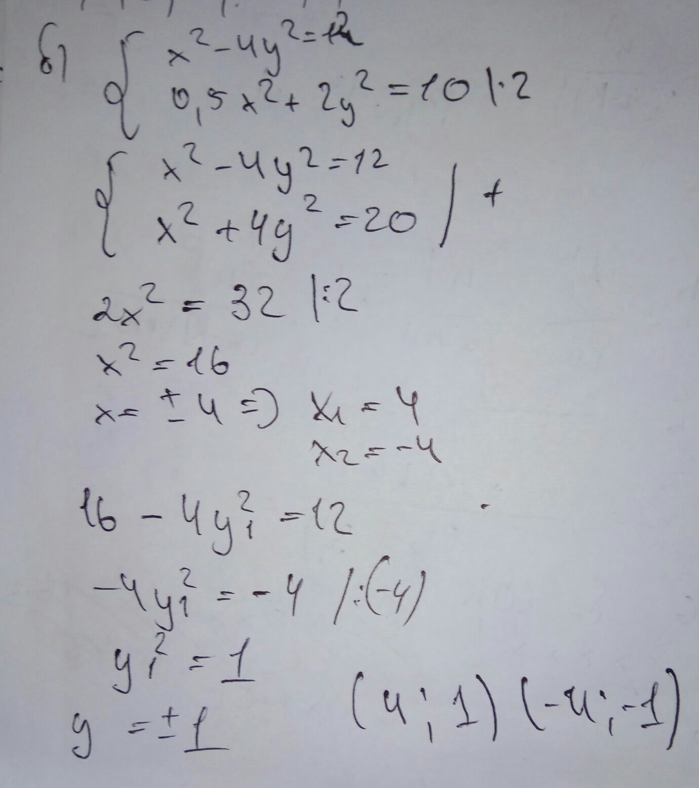
МОТОДОМ ПОДСТАНОВКИ ) ПЖ
Приложения:
Ответы
Автор ответа:
1
сделал....... . .....
Приложения:
Похожие вопросы
Предмет: Английский язык,
автор: ik805166
Предмет: Английский язык,
автор: umerprosti387
Предмет: Алгебра,
автор: karolinadanilova712
Предмет: Математика,
автор: Sahachjvl
Предмет: Математика,
автор: Sahachjvl