Предмет: Химия,
автор: dimkakalugadendi
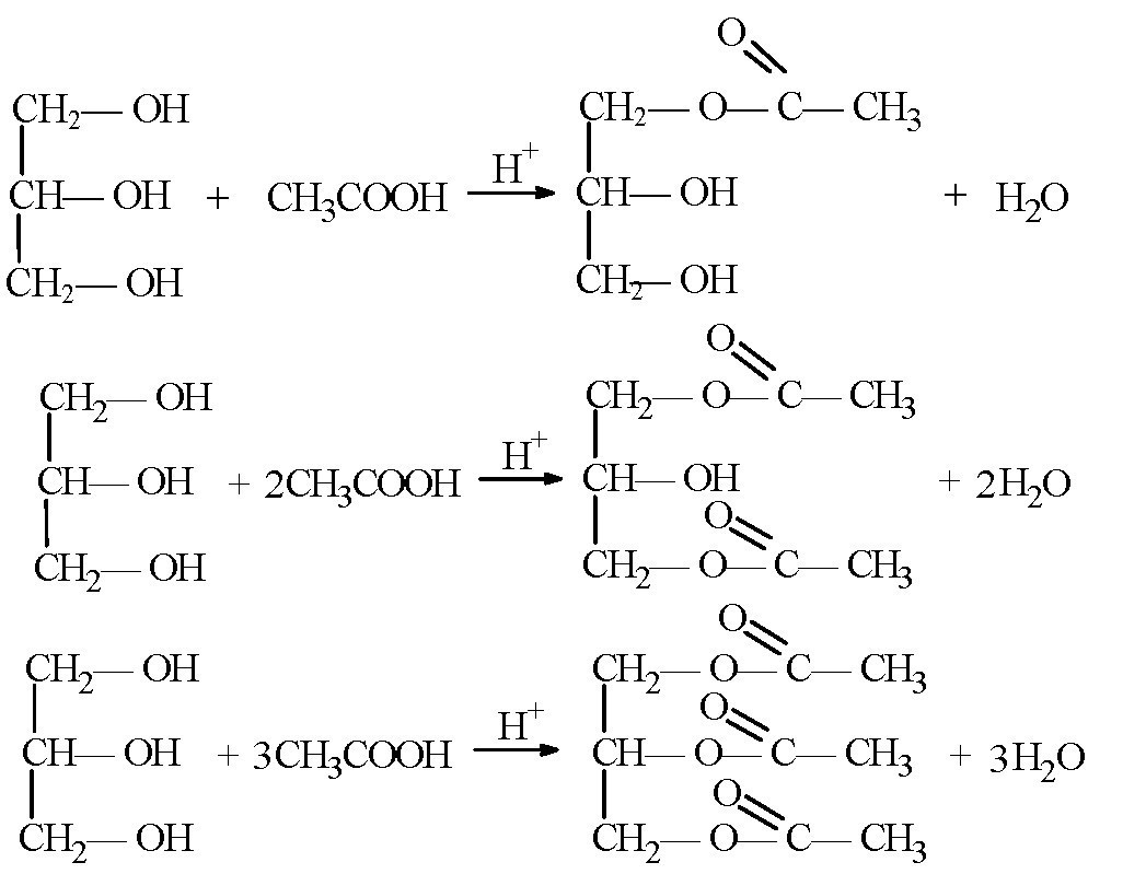
Уравнение реакции глицерина и уксусной кислоты. Спасибо за ответы!
Ответы
Автор ответа:
11
Там с 1,2 и 3 молями
Приложения:
dimkakalugadendi:
Спасибо, а как в одну строчку записать уравнение? Если это возможно.
c3h5(oh)3+ch3cooh
Спасибо! Теперь понял как записывать подобное)
Похожие вопросы
Предмет: Математика,
автор: twl35812
Предмет: Кыргыз тили,
автор: jxnddnd
Предмет: Химия,
автор: 393838374
Предмет: Биология,
автор: alinamalina21
Предмет: Математика,
автор: Аноним