Предмет: Алгебра,
автор: famir123123
помогите пожалуйста дам 10 б
Приложения:
Ответы
Автор ответа:
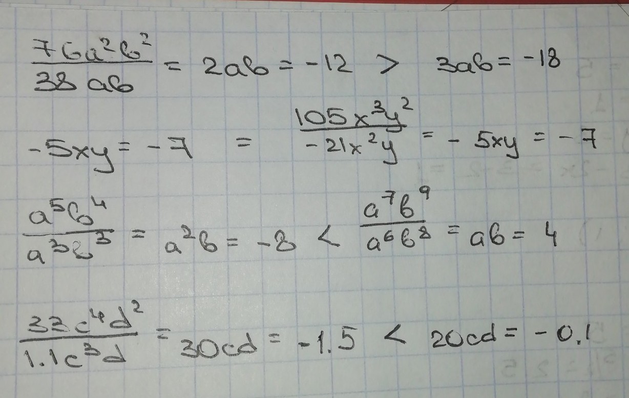
1
1 >
2 =
3 <
4 <
Подробнее на фото
2 =
3 <
4 <
Подробнее на фото
Приложения:
Похожие вопросы
Предмет: Английский язык,
автор: Iriskasweetberry
Предмет: Геометрия,
автор: lukanovavaleria93
Предмет: Математика,
автор: stastima9
Предмет: Алгебра,
автор: таня2002вас