Предмет: Алгебра,
автор: 111111DA
Весь день решаю,не получается,помогите!
Тема:иррациональные уравнения
Приложения:
Ответы
Автор ответа:
0
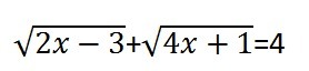
В левой части данного уравнения функция монотонно возрастает, а в правой части - константа ( рис. приложен ). Значит, уравнение имеет не более одного корня. Попробуем подобрать корень, перебирая небольшие по модулю целые числа. Число х = 2 является корнем уравнения. Других корней уравнение не имеет.
ОТВЕТ: 2
Приложения:
Похожие вопросы
Предмет: География,
автор: sffjghk
Предмет: Русский язык,
автор: toleugazinmansur
Предмет: Математика,
автор: lerakozhevnikova19
Предмет: Математика,
автор: Alivia368
Предмет: Литература,
автор: sidorova123441