Предмет: Математика, автор: musulmanka3

умоляю ПОМОГИТЕ мне срочно пж

Приложения:

kadnichan: 5 задание: 1) справа налево. 2) второе, третье, первое, четвертое
zalmek23: спасибо за ответ а то мне остальное лень дорешивать)
kadnichan: а как первые два решать?
kadnichan: на калькуляторе в приципе можно

Ответы

Автор ответа: zalmek23
1

Я постараюсь сделать за минут десять но не обещаю


Приложения:

zalmek23: ща изменю ответ когда сделаю
musulmanka3: ок спасибо
zalmek23: на самом деле я в девятом классе и не все понимаю но вот то что я нарешал остальное допишу
musulmanka3: ощ1щ
musulmanka3: спасибо
musulmanka3: а 4, 5 не смогли?
Автор ответа: kadnichan
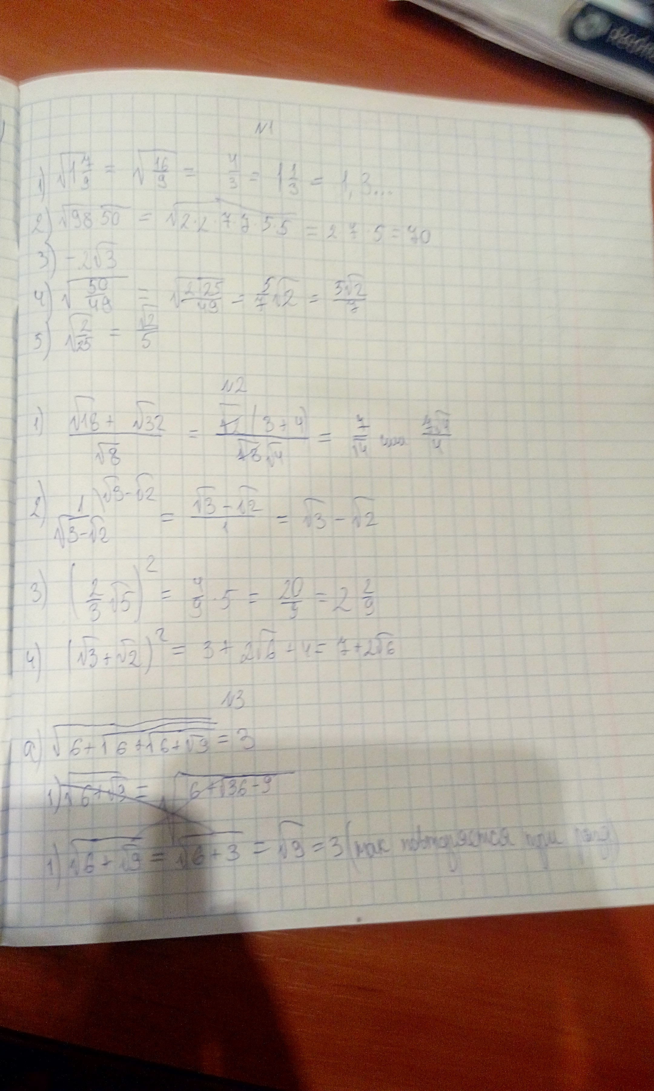
1

3. а) 3

   б) 4

4. 1) первое число наибольшее, последнее наименьшее

    2) Второе число наименьшее, третье наибольшее


musulmanka3: спасибо
Похожие вопросы
Предмет: Русский язык, автор: MoneyMyLoveHAHAHAHA
Предмет: Математика, автор: Maria977537