Предмет: Алгебра,
автор: 111111DA
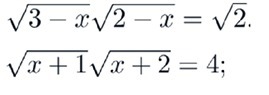
Тема:Иррациональные уравнения
Приложения:
Ответы
Автор ответа:
1
фото............................
Приложения:
Автор ответа:
1
Решила, надеюсь, всё понятно
Приложения:
Похожие вопросы
Предмет: Физика,
автор: Anna18301
Предмет: Алгебра,
автор: amanatidi2006m
Предмет: Математика,
автор: sanastslkerov89
Предмет: Геометрия,
автор: irink1a