Предмет: Математика,
автор: arina42511
матем СРОЧНО ОЧЕНЬ НУЖНО
Приложения:
Ответы
Автор ответа:
1
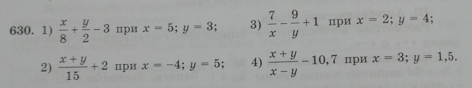
1.) 5/8+3/2 -3=5+12-23/8=-7/8
2.) -4+5/15 +2=1/15+2=31/15= 2 1/15
3.) 7/2-9/4+1=14-9+4/4=9/4=2 1/4
4.) 3+1.5/3-1.5 -10.7=4.5/1.5 -10.7=(9/2)/(3/2)-10.7=9/3-10.7=3-10.7=-7.7
2.) -4+5/15 +2=1/15+2=31/15= 2 1/15
3.) 7/2-9/4+1=14-9+4/4=9/4=2 1/4
4.) 3+1.5/3-1.5 -10.7=4.5/1.5 -10.7=(9/2)/(3/2)-10.7=9/3-10.7=3-10.7=-7.7
Автор ответа:
1
=5/8+3/2-3=5/8+12/8-3=2 1/8-2 8/8=-7/8
=(-4+5)/15+2=1/15+2=2 1/15
=7/2-9/4+1=14/4-9/4+1=2 1/4
=(3+1,5)/(3-1,5)-10,7=4,5/1,5-10,7=3-10,7=-7,7
Похожие вопросы
Предмет: Русский язык,
автор: Аноним
Предмет: Алгебра,
автор: rusklimovrus
Предмет: Информатика,
автор: Demonzm7329
Предмет: Математика,
автор: So159
Предмет: Математика,
автор: inga061