Предмет: Алгебра,
автор: KewLimp
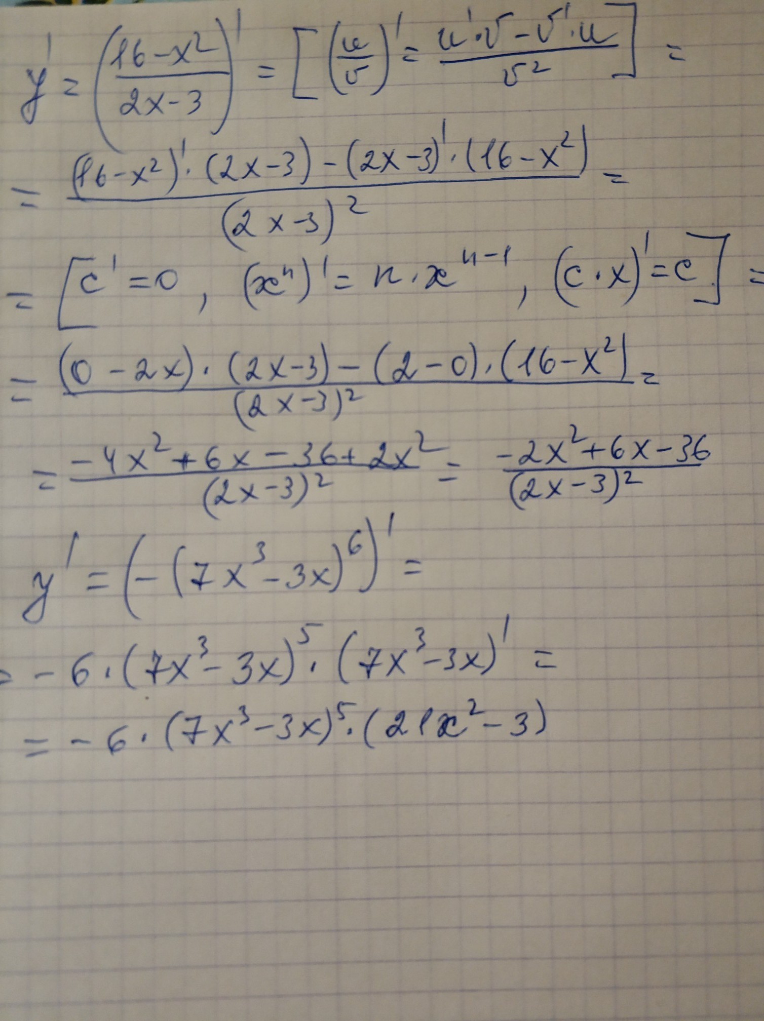
Помогите найти значение производной функции
y= ( 16 - x ^ 2 ) / ( 2x - 3 )
И ещё один пример
y= - ( 7 x ^ 3 - 3 x) ^ 6
Ответы
Автор ответа:
1
решение во вложении.....
Приложения:
Похожие вопросы
Предмет: Алгебра,
автор: helpmeplssssssssss72
Предмет: Математика,
автор: Аноним
Предмет: Русский язык,
автор: quliyevaesmira1967
Предмет: Алгебра,
автор: Danyalolnyikek