Предмет: Математика,
автор: марияпетровна11
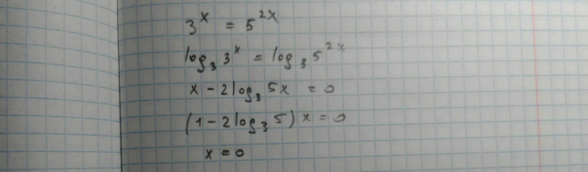
помогите решить уравнение срочно!!!! 3^x=5^2x
Ответы
Автор ответа:
1
............................
Приложения:
Похожие вопросы
Предмет: Алгебра,
автор: dashenkagavrilova06
Предмет: Алгебра,
автор: samiramuhitdinova06
Предмет: Информатика,
автор: jkvvvjkv
Предмет: Математика,
автор: 300819781