Предмет: Алгебра, автор: tempo10

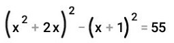
Обясните пожалуйста как решать (x^2+2x)^2-(x+1)^2=55

Приложения:

Ответы

Автор ответа: m11m
0

!!!!!!!!!!!!!!!!!!!!!!!!!!!!

Приложения:
Автор ответа: krolikzajcev
0

(x+1)^2=x^2+2x+1\\

Обозначим

x^2+2x=z

Получим уравнение

z^2-z-1=55\\z^2-z-56=0\\z=-7, z=8\\

Обратная замена дает два квадратных уравнения, которые легко решить:

x^2+2x+7=0, x^2+2x-8=0

Похожие вопросы
Предмет: История, автор: Laminatuym
Предмет: Окружающий мир, автор: zlatagrecan982
Предмет: Математика, автор: malj1