Предмет: Алгебра,
автор: eeeeeerok56
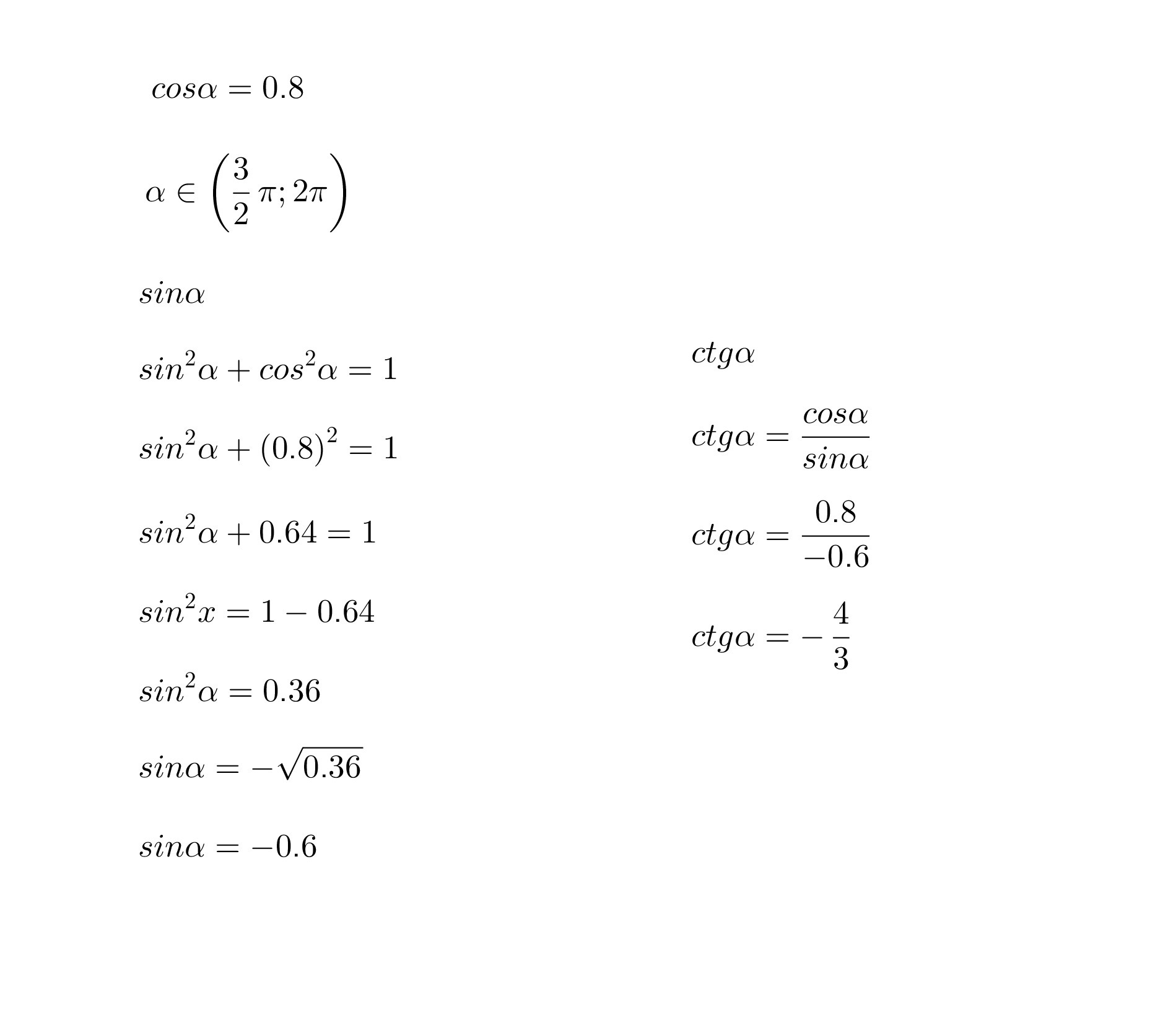
вычислите ctg a если cos a = 0.8 и 3п/2 < а < 2п
Ответы
Автор ответа:
1
Вычислите ctg a если cos a = 0.8 и 3п/2 < а < 2п
Приложения:
Похожие вопросы
Предмет: Математика,
автор: mriambijoyan
Предмет: Физика,
автор: danameljnyshuk2016
Предмет: Русский язык,
автор: Anox3ck
Предмет: Математика,
автор: smor4enkova
Предмет: Математика,
автор: Аноним