Предмет: Математика, автор: ilaskalashnikov31

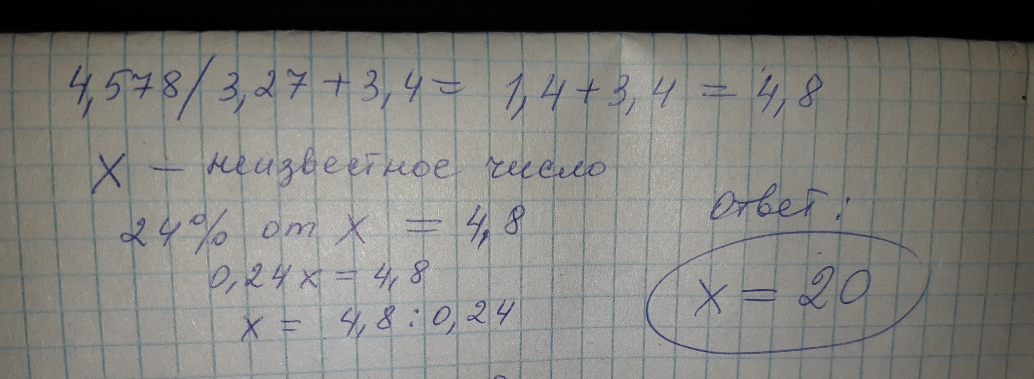
Найди число, 24% которого равно значение выражения 4,578 / 3,27 + 3,4

Ответы

Автор ответа: lenok3781
1
Ответ: искомое число равно 20.
Приложения:
Похожие вопросы
Предмет: История, автор: alvina1116
Предмет: Алгебра, автор: натальякатлан
Предмет: Алгебра, автор: DEDSHOT007