Предмет: Алгебра,
автор: m4arcu5
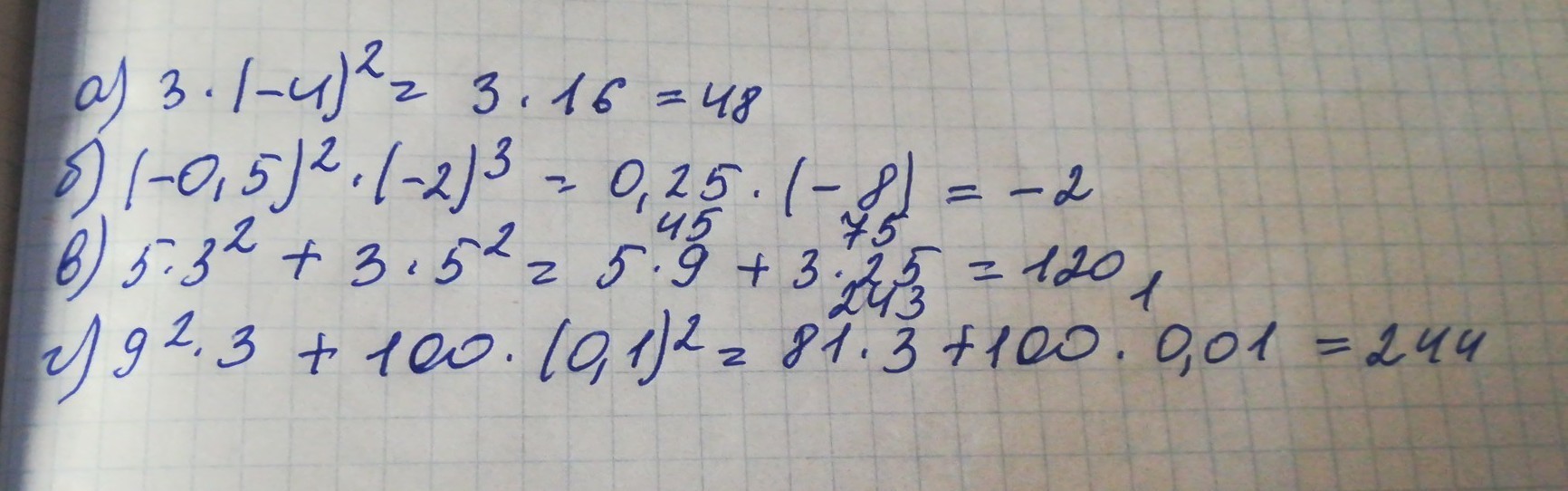
Вычисли значение выражения
a) 3 · 
б)
· 
в) 5 ·
+ 3 · 
г)
· 3 + 100 ·
.
Ответы
Автор ответа:
0
Решение на фото......
Приложения:
Похожие вопросы
Предмет: Қазақ тiлi,
автор: elnazamirbek1
Предмет: География,
автор: chernyshtatyany
Предмет: Обществознание,
автор: idrisovanaima0
Предмет: Математика,
автор: mukhanova1953