Предмет: Алгебра,
автор: oleg170350
Помогите пожалуйста решить дроби !!!
Приложения:
Ответы
Автор ответа:
2
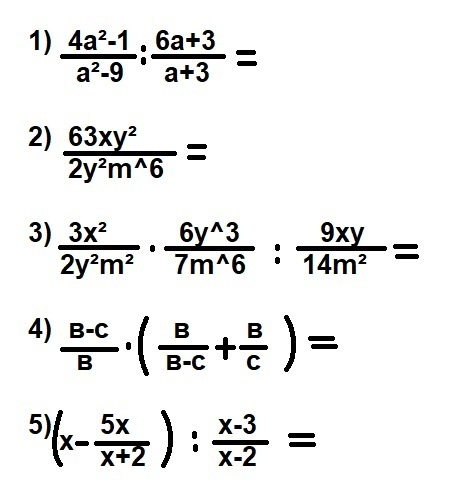
1) = ( (2a-1)(2a+1) / ((a-3)(a+3)) ) / ( 3(2a+1) / (a+3) )=
( (2a-1)(2a+1) / ((a-3)(a+3)) ) * ( (a+3) / ( 3(2a+1) ) ) =(a+3 и 2а+1 сокращаются)
((2a-1) / (a-3)) * 1/3 = (2a-1)/ (3a-9)
2) = (y^2 сокращается) 63x/(2*m^6)
3) = ((3* x^2 * 2*3* y^3) / (2* y^2 * m^2 * 7* m^6)) * ((14* m^2) / (9*x*y))= (9xy , 14m^2 и y^2 сокращаются) (2x)/m^16
4) = ((в-с)/в ) * (в/(в-с)) + ((в-с)/в) * в/c = 1+(в-с)/c
5) = ((x(x+2) -5x)/(x-2)) * (x-2)/(x-3) = (x^2+ 2x - 5x)(x-2) / ((x-2)(x-3))=(x^2-3x)(x-2)/((x-2)(x-3)) = x(x-3)/(x-3) = x
Похожие вопросы
Предмет: Физика,
автор: qwqw99182
Предмет: Физика,
автор: fedoseevmikita
Предмет: Геометрия,
автор: bedboychik23
Предмет: Математика,
автор: kristinasuper32