Предмет: Алгебра, автор: varsegova64

ПОМОГИТЕ ПОЖАЛУЙСТА ))))

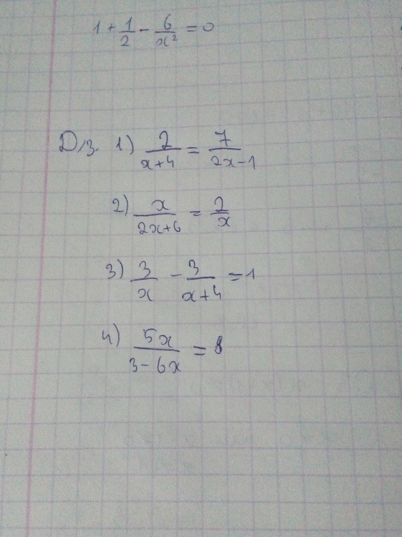
Приложения:

Ответы

Автор ответа: padruga666
0

1)  2/x+4=7/2x-1

2/x+4=7/2x-1,  x не равно -4,       x не равно 1/2

2(2x-1)=7(x+4)

4x-2=7x+28

4x-7x=28+2

-3x=30

x= -10,  x не равно -4,        x не равно 1/2

x= -10

2) x/2x+6=2/x

x/2(x+3)=2/x

x/2(x+3)=2/x,  x не равно -3,       x не равно 0

x^2=4(x+3)

x^2-4(x+3)=0

x^2-4x-12=0

x= -4(-4)+-√(-4)^2-4*1*(-12)/2*1

x=4+-√16+48/2

x=4+-√64/2

x=4+-8/2

x=4+8/2

x=4-8/2

x=6       x не равно -3,       x не равно 0

xx= -2

x=6,  x= -2

3)  3/x-3/x+4=1

3/x-3/x+4-1=0

3(x+4)-3x-x(x+4)/x(x+4)=0

3x+12-3x-x^2-4x/x(x+4)=0

12-x^2-4x/x(x+4)=0

12-x^2-4x=0

-x^2-4x+12=0

x^2+4x-12=0

x= -4+-√4^2-4*1(-12)/2*1

x=-4+-√16+48/2

x=-4+-√64/2

x= -4+-8/2

x= -4+8/2

x= -4-8/2

x=2,  x не равно 0,       x не равно -4

x= -6

x=2, x= -6

4)  5x/3-6x=8

5x/3(1-2x)=8

5x/3(1-2x)=8,  x не равно 1/2

5x=24(1-2x)

5x=24-48x

5x+48x=24

53x=24

53x=24

x=24/53,  x не равно 1/2

x=24/53



Похожие вопросы
Предмет: Математика, автор: Kayomi
Предмет: Математика, автор: SERJ13371