Предмет: Математика,
автор: david123babiy321
Пожалуйста! Сделайте 6 и 7 задание! Очень нужно!
Я ни как не могу решить!
Даю целых 58 БАЛЛОВ!
Приложения:
Ответы
Автор ответа:
1
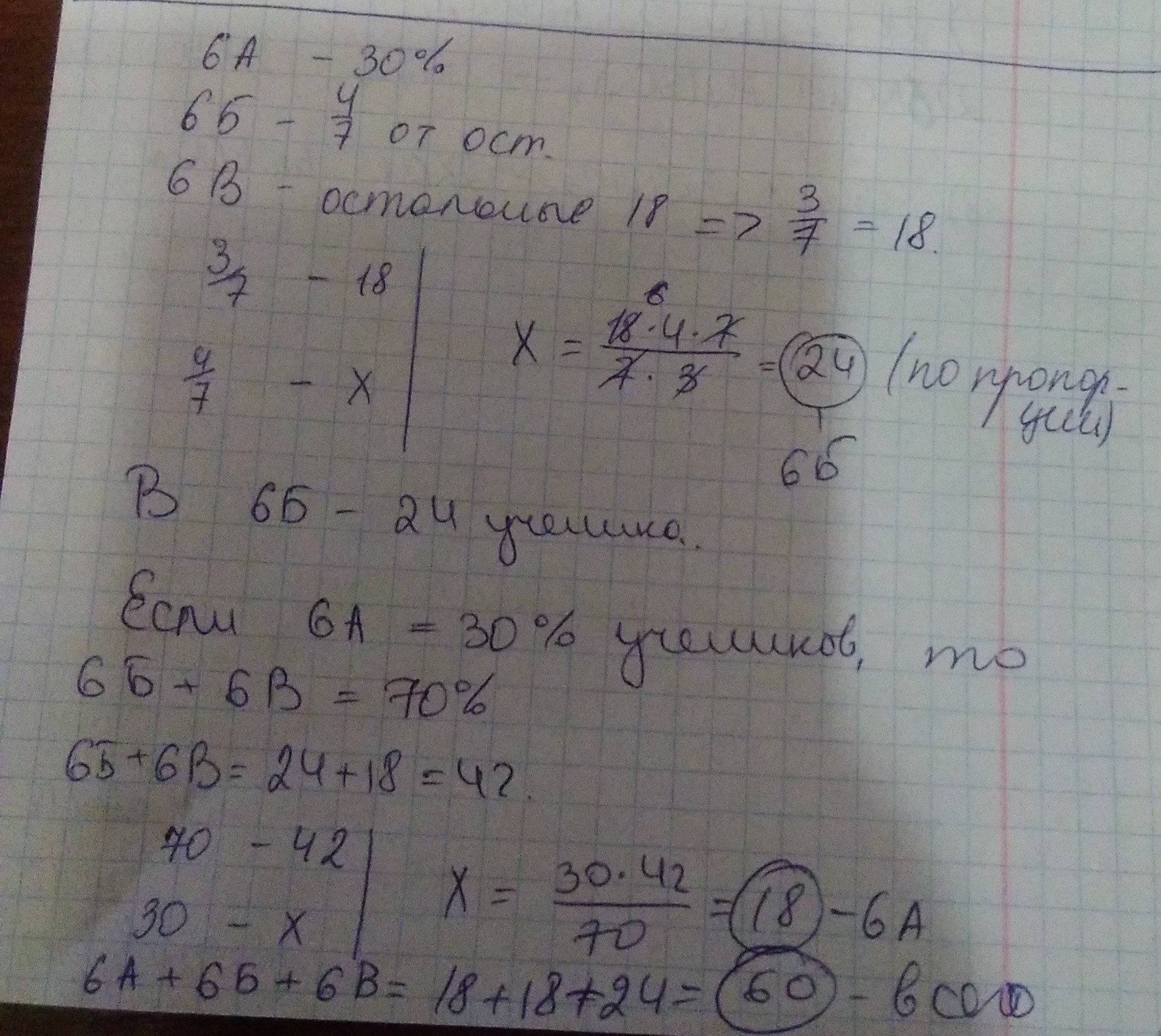
Решение на седьмую задачу
Приложения:
Похожие вопросы
Предмет: Биология,
автор: d8psx7t5hx
Предмет: Алгебра,
автор: dlkvnldfknbkjdf
Предмет: Английский язык,
автор: cheburek23124
Предмет: Литература,
автор: Magikmen
Предмет: Математика,
автор: Аноним