Предмет: Математика,
автор: Sniper098
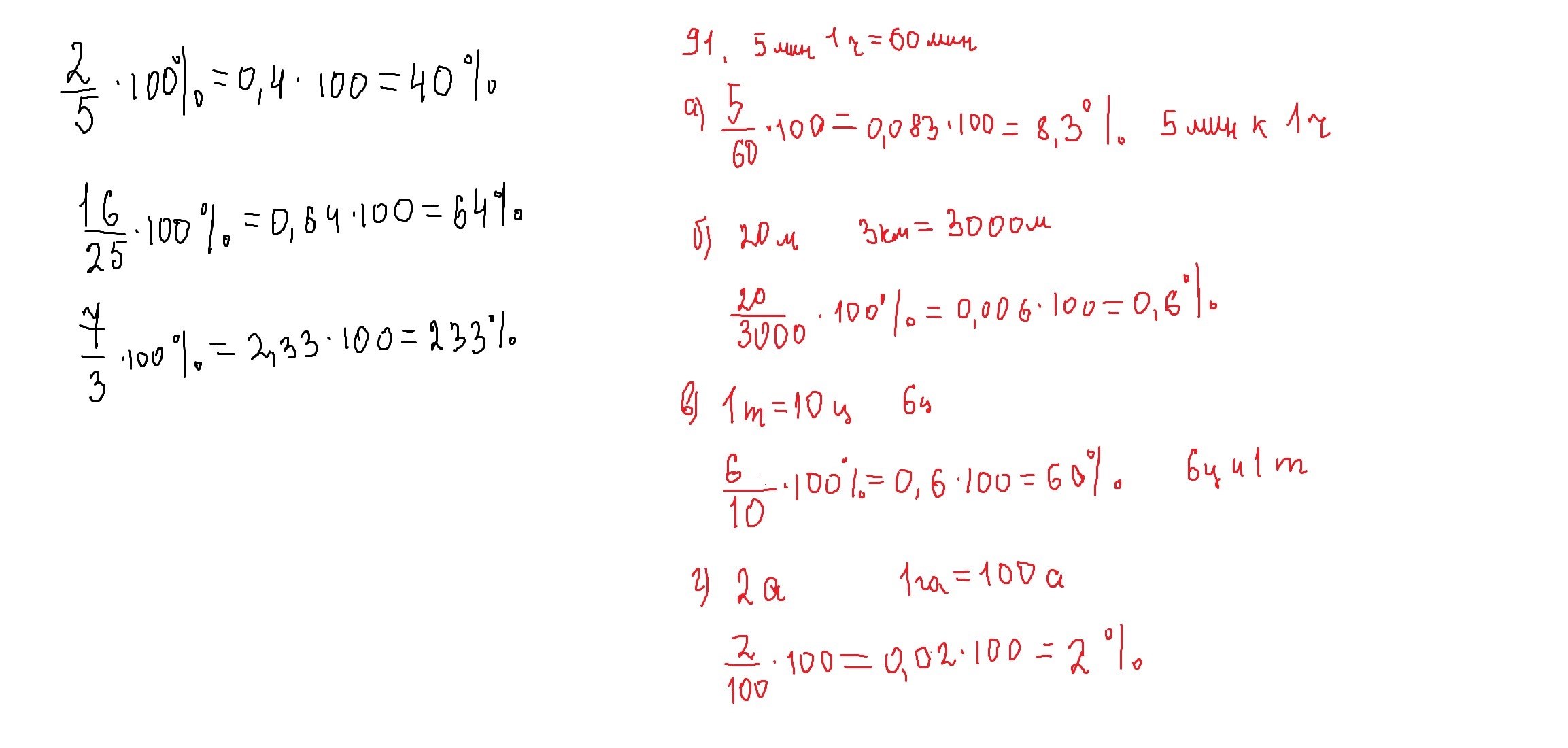
помогите пожалуйста разобраться с 90, 91
Приложения:
Ответы
Автор ответа:
1
чтобы найти процентное отношение чисел,надо одно число разделить на другое и умножить на 100%
Приложения:
Похожие вопросы
Предмет: Литература,
автор: piupiu288
Предмет: Українська мова,
автор: vitalinaskorondak
Предмет: Математика,
автор: tairovalr11
Предмет: Геометрия,
автор: Никаник12
Предмет: Математика,
автор: Giorgi11