Предмет: Химия,
автор: Tomika13
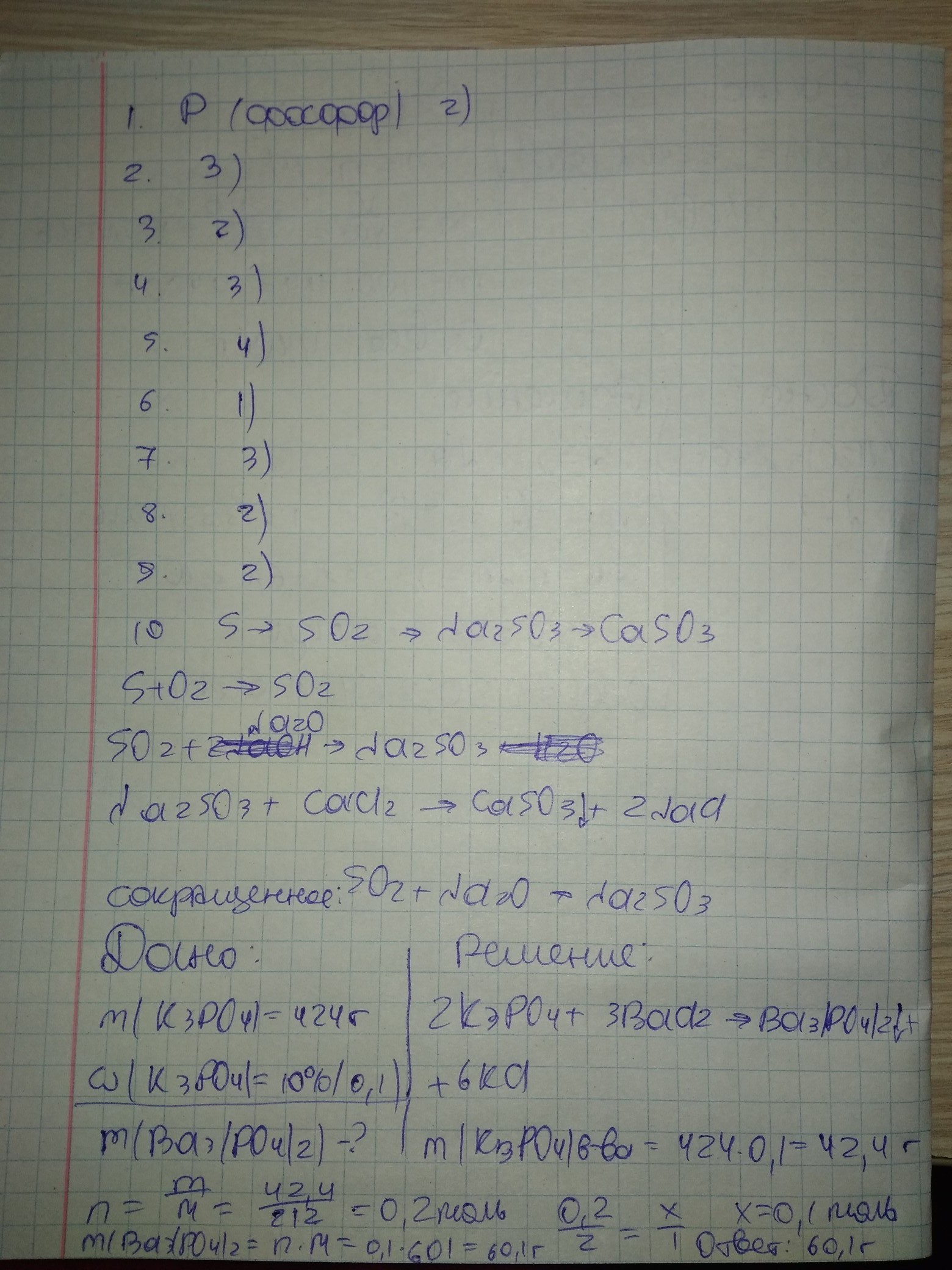
Срооочно 100БАЛЛОВ!!
Приложения:
Ответы
Автор ответа:
3
....................
Приложения:
Похожие вопросы
Предмет: Обществознание,
автор: ekaterinakim592
Предмет: История,
автор: Аноним
Предмет: Математика,
автор: MischelCt
Предмет: Математика,
автор: холод5
Предмет: Математика,
автор: Маринетт21879