Предмет: Геометрия,
автор: tvinkovich1999
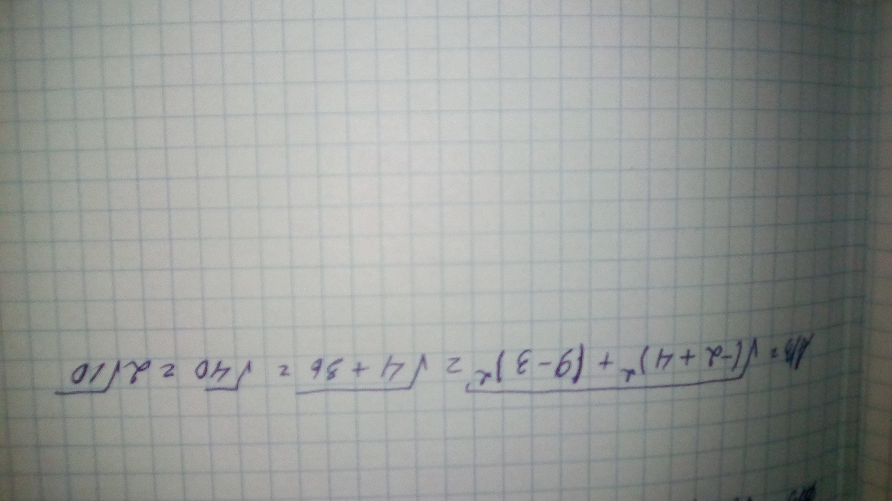
Найдите расстояние между точками A(-4;3) и B(-2;9)
Ответы
Автор ответа:
1
Вот, надеюсь цифры понятны, ну и решение.
Приложения:
Похожие вопросы
Предмет: Математика,
автор: abobuuuus
Предмет: Литература,
автор: ak47avto
Предмет: География,
автор: Аноним
Предмет: Литература,
автор: SemyonPrelovsky
Предмет: Математика,
автор: Аноним