Предмет: Математика,
автор: sergey4486
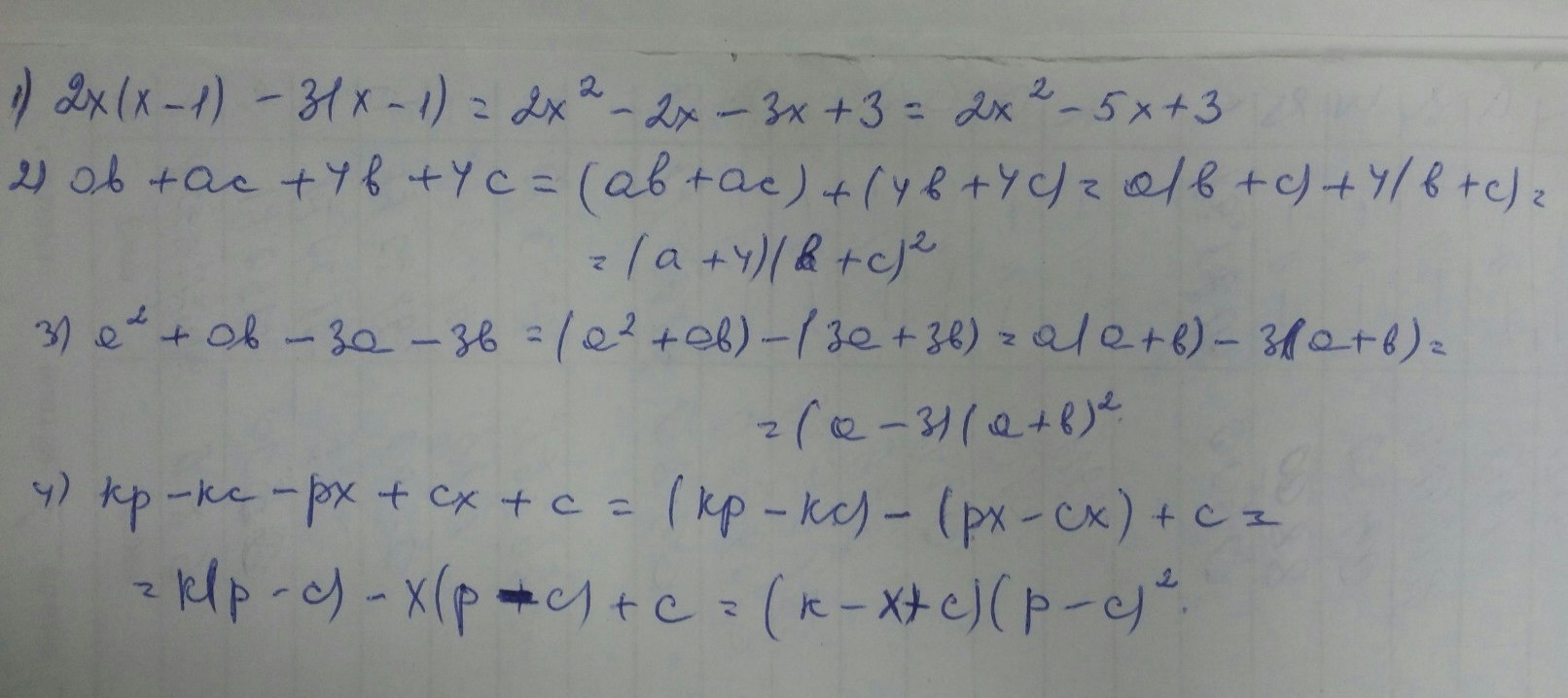
разложите на многочлены 2х (х -1 ) -3(х - 1 )
Приложения:
Ответы
Автор ответа:
0
..........................
Приложения:
Похожие вопросы
Предмет: Физика,
автор: Аноним
Предмет: Математика,
автор: sevlakovdima3
Предмет: Другие предметы,
автор: mrktlux
Предмет: Литература,
автор: masha055
Предмет: Химия,
автор: NastyaKiosse22