Предмет: Математика,
автор: skazochniiovosh1982
СРОЧНО!
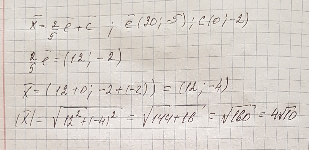
Найдите координаты и длину вектора x,если x=2/5e+c, e(30;-5), c(0;-2)
Ответы
Автор ответа:
64
решение задания смотри на фотографии
Приложения:
Похожие вопросы
Предмет: Химия,
автор: terrest3474
Предмет: Химия,
автор: Arnuryrik
Предмет: Литература,
автор: aishatalaibekova85
Предмет: Литература,
автор: Dasha120108