Предмет: Алгебра,
автор: xromowalesia
Решите плиз, буду благодарна)
Приложения:
Ответы
Автор ответа:
1
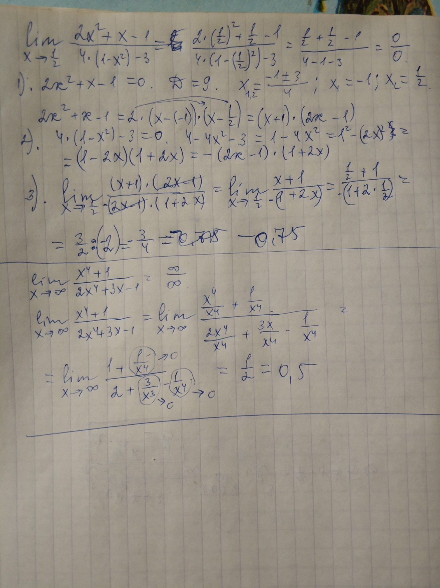
решение во вложении....,
Приложения:
xromowalesia:
Вай спасибо большое <3
Похожие вопросы
Предмет: Алгебра,
автор: andrrewkinka
Предмет: Математика,
автор: itzdayncmxd
Предмет: Математика,
автор: Аноним
Предмет: Математика,
автор: Ароматизатор
Предмет: Литература,
автор: сабачийкорм