Предмет: Геометрия,
автор: sashashitova96961
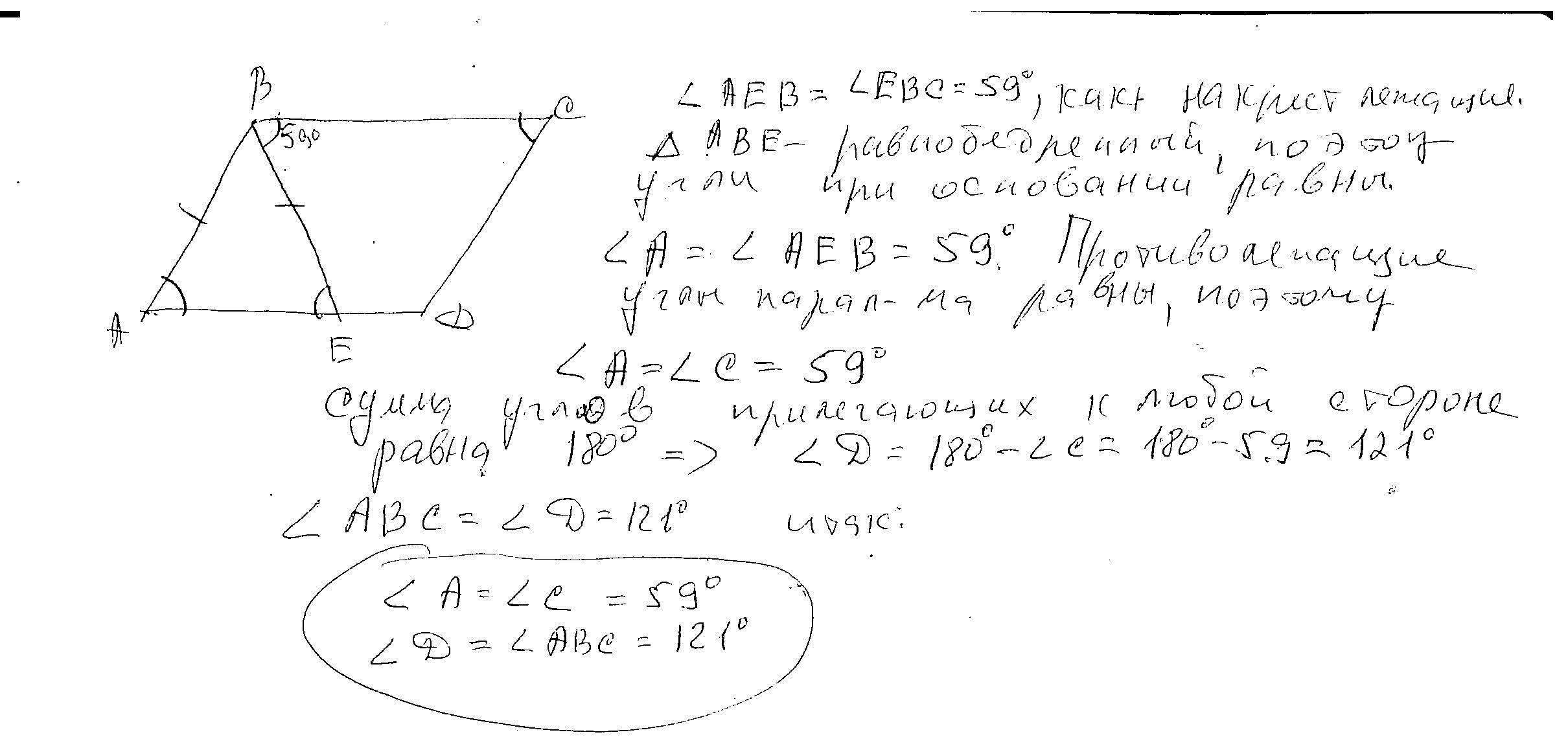
ABCD паралелограмм, АВ равна BE, угол CBE 59градусов,найдмте углы паралелограмма.. Здравствуйте, помогите решить, не могу вспомнить, время поздно у нас, ребёнку срочно помочь надо с домашним заданием:)
Приложения:
Ответы
Автор ответа:
0
Ответ:
Объяснение:
во вложении
Приложения:
Похожие вопросы
Предмет: Геометрия,
автор: gricikviktoria65
Предмет: Информатика,
автор: semenzvagin7
Предмет: Алгебра,
автор: gendalf123321
Предмет: Физика,
автор: yunie100
Предмет: Математика,
автор: vgnidan