Предмет: Алгебра,
автор: alex6779
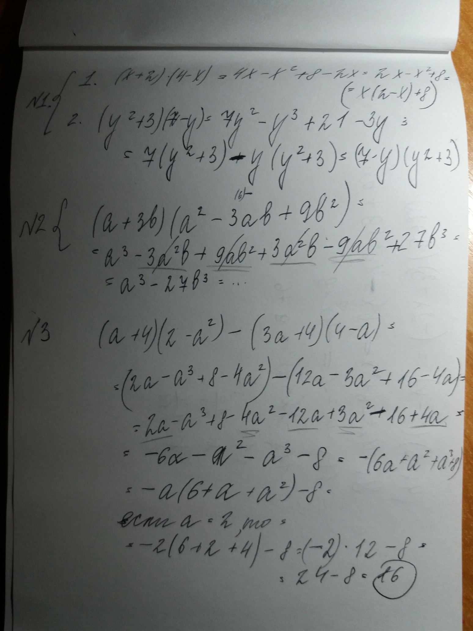
Помогите пожалуйста!!!
Приложения:
Ответы
Автор ответа:
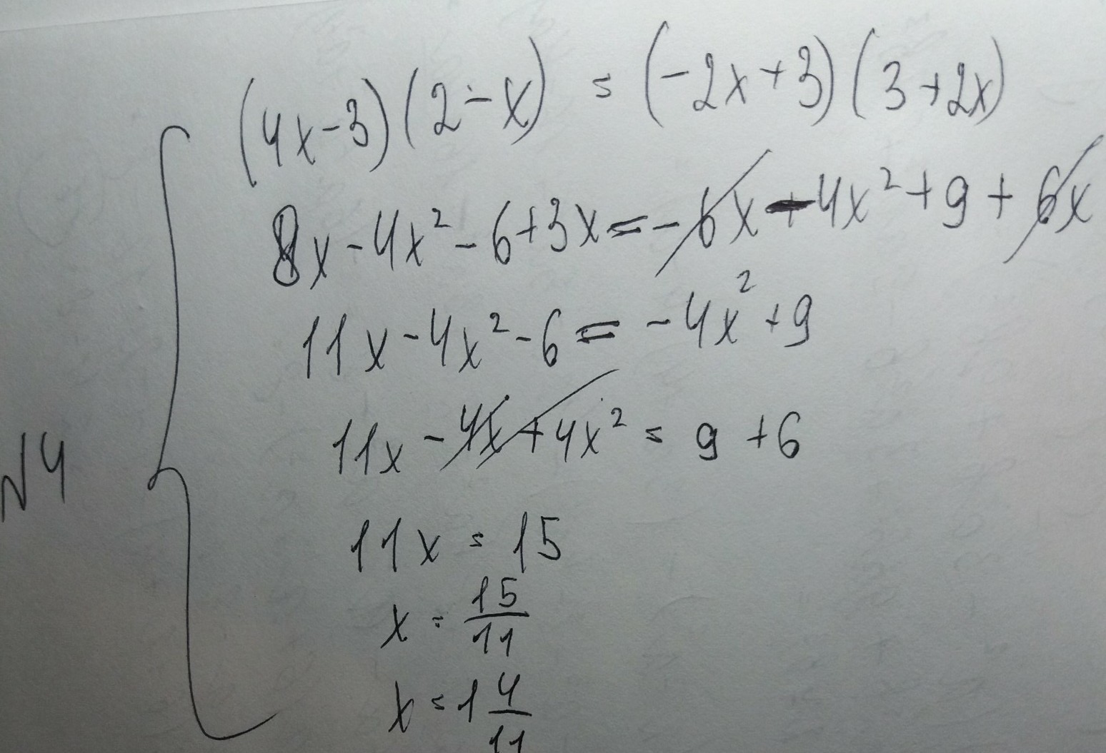
1
вот, надеюсь, что правильно
Приложения:
alex6779:
спасибо бро)
пожалуйста ;)
можешь с инфой помочь)
Похожие вопросы
Предмет: Физика,
автор: abudabi85
Предмет: Русский язык,
автор: cindycatfung
Предмет: Биология,
автор: Аноним
Предмет: Литература,
автор: ольга859
Предмет: Математика,
автор: GidEater