Предмет: Математика,
автор: leter70
Даю 30 баллов. Помогите решить
Приложения:
vaiti:
Все?
Ответы
Автор ответа:
1
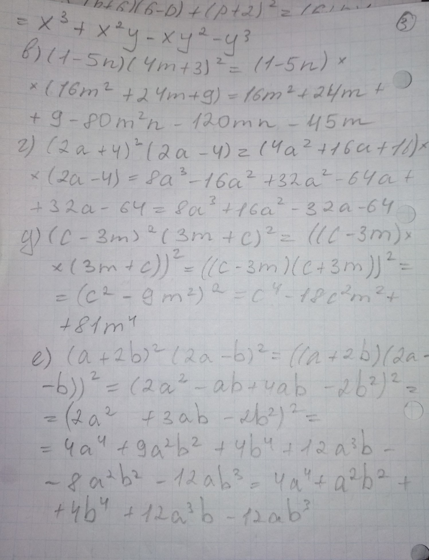
Все решения на картинках...
Приложения:
Похожие вопросы
Предмет: Английский язык,
автор: Turina1180
Предмет: Українська мова,
автор: evgeniazabolotna3
Предмет: Английский язык,
автор: valerakochkonyan2009
Предмет: Математика,
автор: missmadin4ik
Предмет: Алгебра,
автор: maria22012002