Предмет: Химия,
автор: kokarevich96
Химические свойства и способы получения алканов. Даю очень много баллов за подробный ответ!!!Всё кроме 3 задания!1!!
Приложения:
Ответы
Автор ответа:
2
1). - в
СH4 + HNO3 = CH3NO2 + H20
2). - б
CH3-CH3 + HNO3 = CH3-CH2NO2
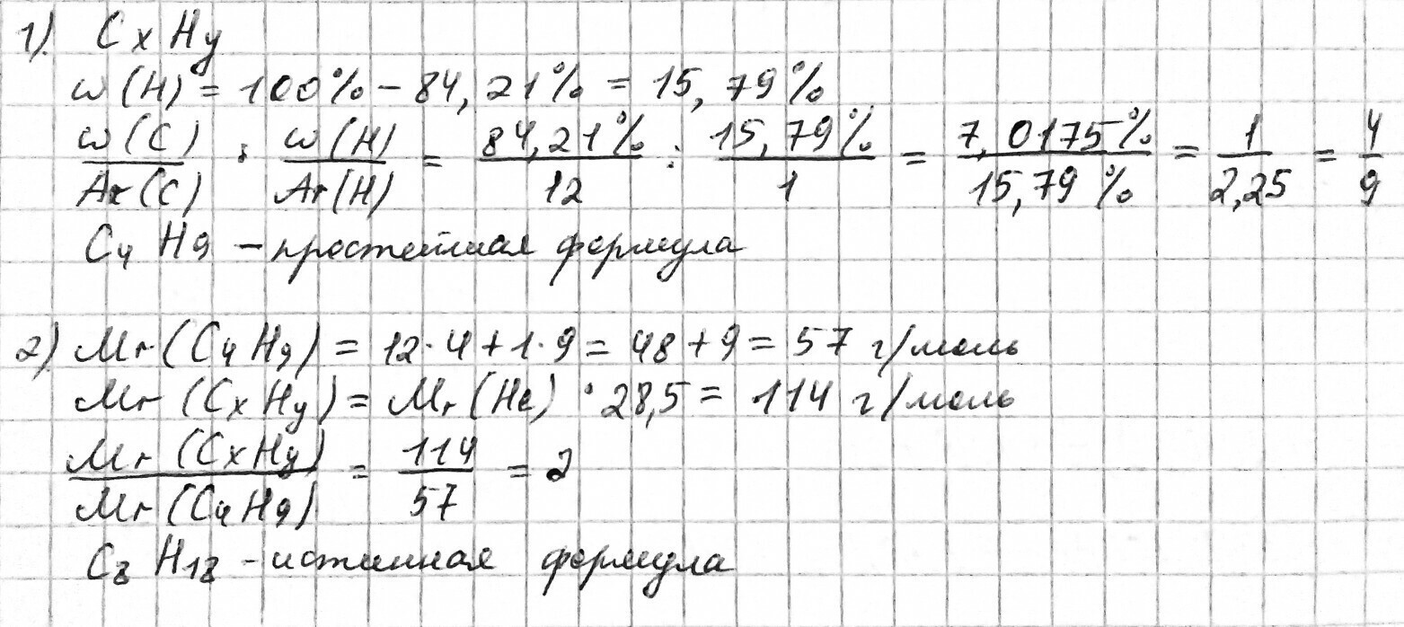
4). Фото выше
СH4 + HNO3 = CH3NO2 + H20
2). - б
CH3-CH3 + HNO3 = CH3-CH2NO2
4). Фото выше
Приложения:
Похожие вопросы
Предмет: Русский язык,
автор: bukashka00118
Предмет: Литература,
автор: Amogus8765461
Предмет: География,
автор: tt677121780
Предмет: Литература,
автор: тиаопра
Предмет: Математика,
автор: ОРИМИВУД