Предмет: Алгебра,
автор: ekaterinakis200606
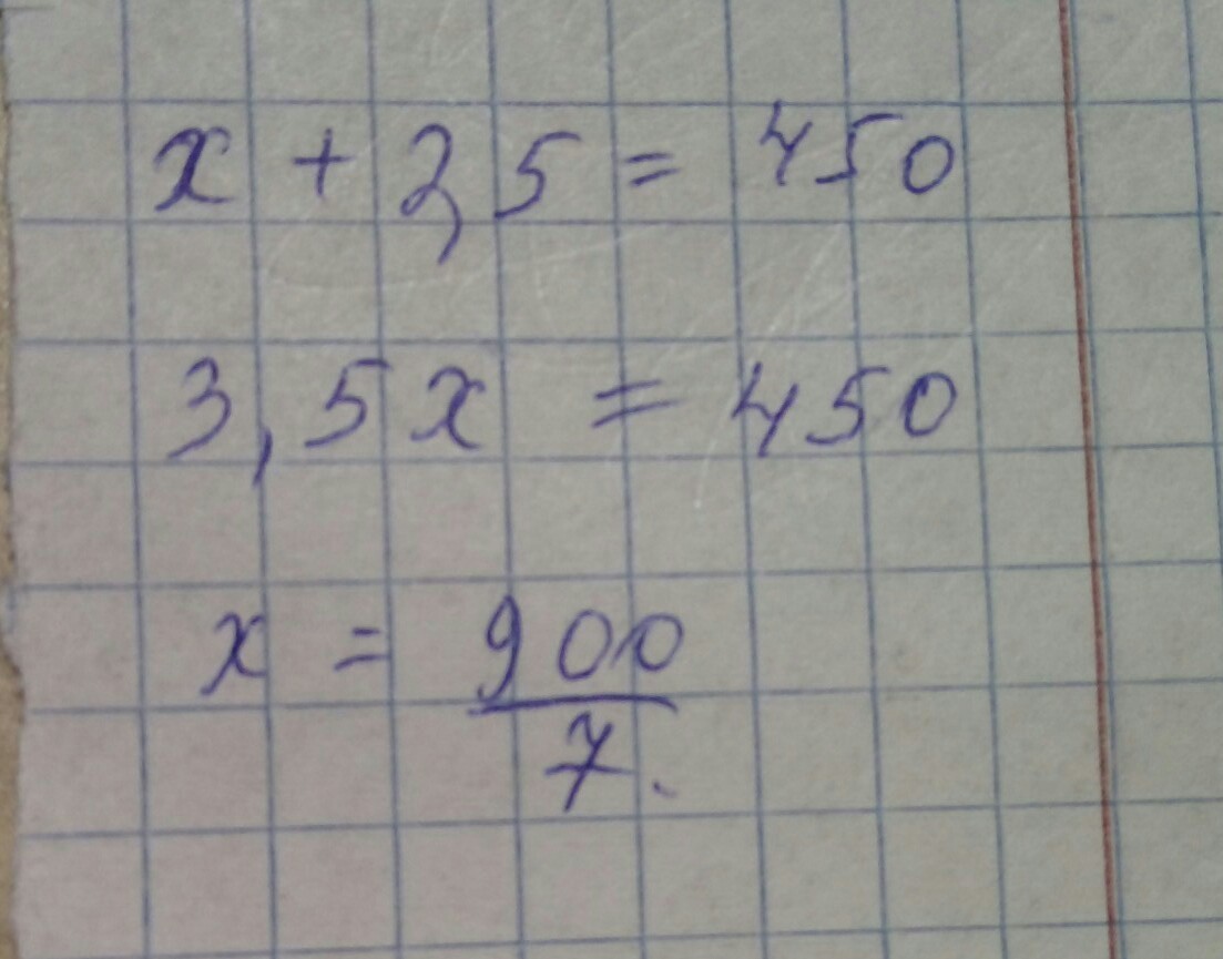
Решить уравнение
х+2,5х=450
Ответы
Автор ответа:
1
это ответ...............
Приложения:
Похожие вопросы
Предмет: Английский язык,
автор: veronika0908sereda
Предмет: Русский язык,
автор: Аноним
Предмет: Астрономия,
автор: lizasavina866
Предмет: Биология,
автор: Аноним
Предмет: Математика,
автор: galyamovamarin