Предмет: Математика,
автор: liartem01
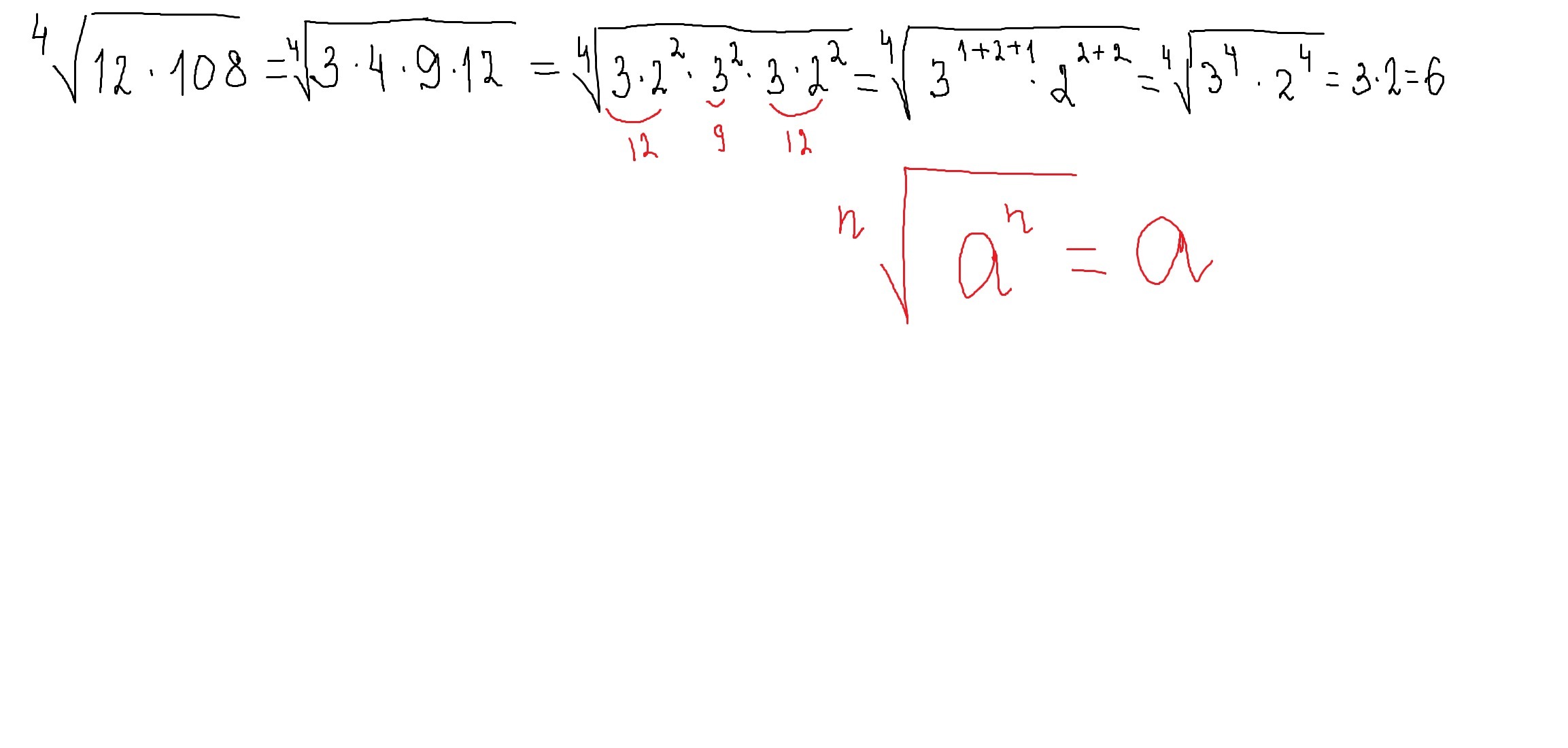
объясните пожалуйста решение
Приложения:
Ответы
Автор ответа:
1
liartem01:
спасибо,понял
я промахнулся, вместо 64 напишите 16
Автор ответа:
1
решение смотри внизу
Приложения:
Похожие вопросы
Предмет: Английский язык,
автор: mapaya
Предмет: Русский язык,
автор: Аноним
Предмет: Литература,
автор: nurlanuuluarsen2
Предмет: Математика,
автор: Nastena13121
Предмет: Математика,
автор: Никита77771