Предмет: Алгебра,
автор: nadezhdaav
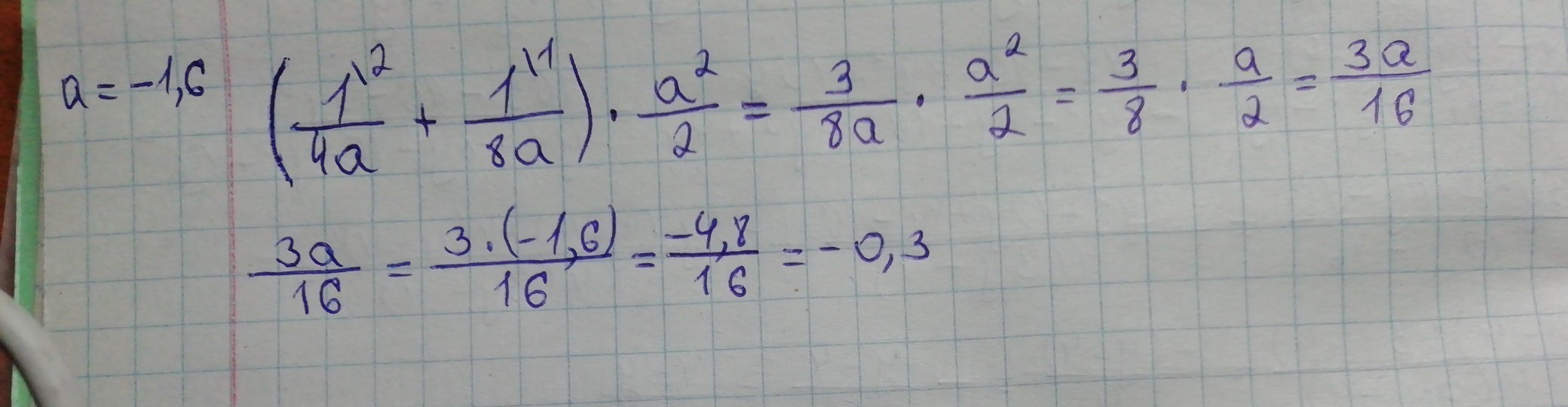
Помогите пожалуйста
Приложения:
Ответы
Автор ответа:
2
Пожалуйста как смогла
Приложения:
Похожие вопросы
Предмет: Английский язык,
автор: zigzag77775
Предмет: Математика,
автор: katris70
Предмет: Русский язык,
автор: lledi8306
Предмет: Литература,
автор: Аноним
Предмет: Алгебра,
автор: KaPycTa007