Предмет: Алгебра,
автор: kolbaska705
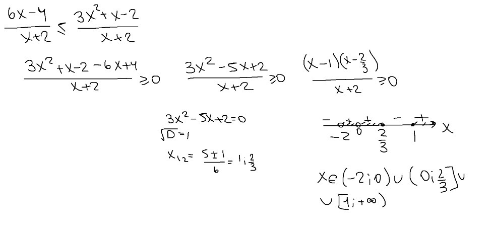
Помогите пожалуйста решить неравенство! (ЕГЭ по математике)
Приложения:
Ответы
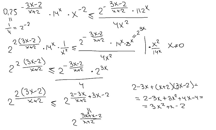
Автор ответа:
2
А я использовал paint
Приложения:
kolbaska705:
Спасибо огромное! ❤️
Похожие вопросы
Предмет: Қазақ тiлi,
автор: romaskar643
Предмет: Русский язык,
автор: magzummansur92
Предмет: Математика,
автор: korzhikpetrovskiy
Предмет: Химия,
автор: violettakryuk20
Предмет: Математика,
автор: papamama112