Предмет: Математика,
автор: WeatherFight
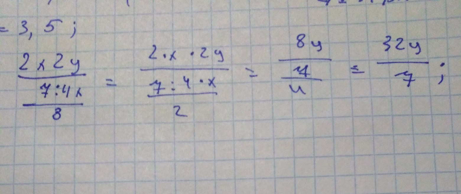
Значение выражения 2x2y/7÷4x/8 равно
Ответы
Автор ответа:
3
Ответ должен быть верным
Приложения:
Похожие вопросы
Предмет: Английский язык,
автор: pakkk8
Предмет: Русский язык,
автор: allahyarlimedine009
Предмет: Биология,
автор: maslovajana86
Предмет: Математика,
автор: Angela611