Предмет: Информатика, автор: Vito337

98 БАЛЛОВ! Упростите логическое уравнение по информатике

Приложения:

Аноним: уравнение?
Vito337: Упростить логическое уравнение
Аноним: может, логическое выражение?

Ответы

Автор ответа: Аноним
0
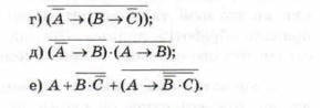
г)
not(A+not(B)+not(C)=not(A)*B*C

д)
not(A+B)*not(not(A)+B)=not(A)*not(B)*A*not(B)=A*not(A)*not(B)=0

е)
A+not(B)+C+not(not(A)+B+not(C))=A+not(B)+C+A+not+(B)+C=A+not(B)+C

Аноним: А как насчет е) )))
Аноним: я случайно промазал и отправил ответ)
Автор ответа: Аноним
0

\displaystyle 1)\quad \overline{\overline A \to (B \to \overline C))}=\overline {A+(\overline B+\overline C)}=\overline ABC\\ \\2)\quad \overline {(\overline A\to B)}\cdot\overline{(A\to B)}=\overline{A+B+\overline A+B}=\overline 1=0\\ \\3) \quad A+\overline{B\overline C}+\overline{A\to\overline{\overline BC}}=A+\overline B+C+\overline{\overline A+B+\overline C}=\\ \\A+\overline B+C+A\overline BC=A(1+\overline BC)+\overline B+C=A+\overline B+C

Похожие вопросы
Предмет: Математика, автор: pashazh2020