Предмет: Математика,
автор: abc123490
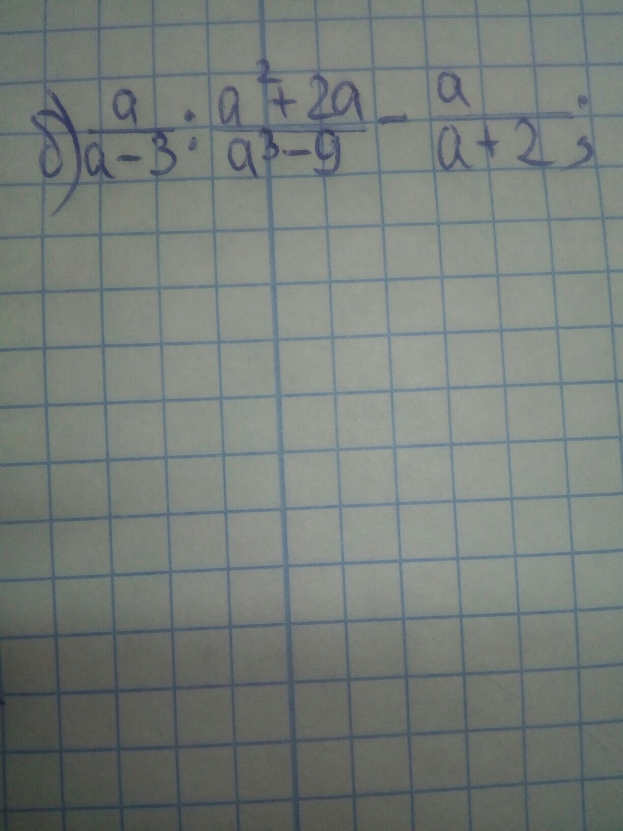
преобразование рациональных выражений
Приложения:
parus77:
там точно а "в кубе" минус 9? это не раскладывается на множители.
охохох,верно, *в квадрате*,ошиблась
Ответы
Автор ответа:
1
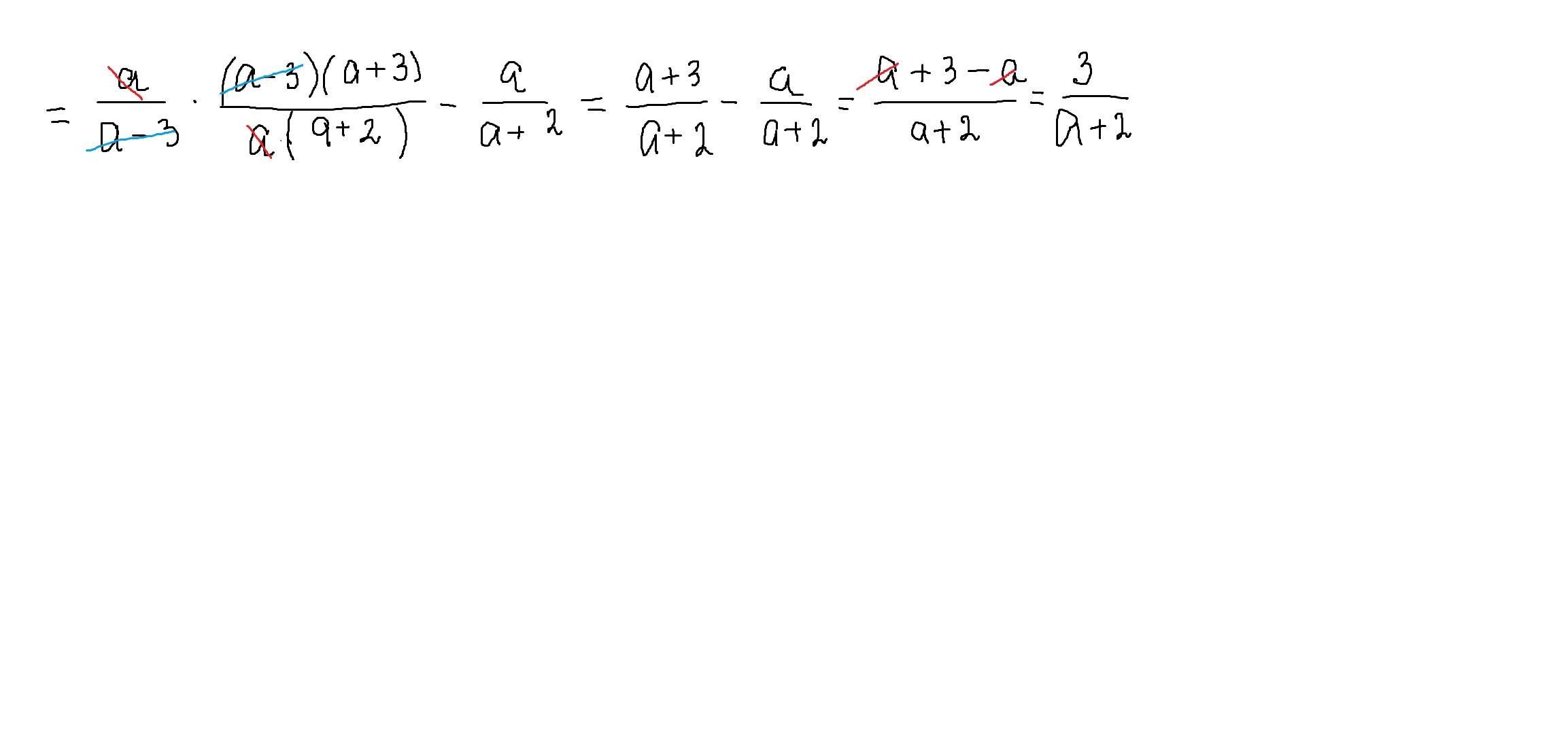
смотри решение внизу
Приложения:
Похожие вопросы
Предмет: Математика,
автор: kristinaa162022
Предмет: Математика,
автор: TblB3alype
Предмет: Литература,
автор: polilev00
Предмет: Математика,
автор: Заяц11144636