Предмет: Алгебра,
автор: ciruvoruzo
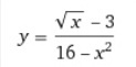
Найдите область определения функции
Приложения:
Ответы
Автор ответа:
1
х≥0
16-х²≠0 х≠4 х≠ -4
х∈(-∞;-4) ∪ (-4;0] ∪ [0;4) ∪ (4 ;+∞)
ciruvoruzo:
я немного перепутал пример
можете пожалуйста сделать другой
https://znanija.com/task/30425177
Похожие вопросы
Предмет: Математика,
автор: vav030210
Предмет: Алгебра,
автор: valeriyaageenko
Предмет: Математика,
автор: annakatsan5
Предмет: Литература,
автор: Ksenia1234564