Предмет: Математика,
автор: Аноним
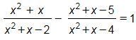
Решите пожалуйста с ОДЗ и описанием
Приложения:
Ответы
Автор ответа:
0
одз x^2+x-2<>0 D=1+8=9 x12<>(-1+-3)/2 = 1 -2
x^2+x-4<>0 D=1+16=17 x34<>(-1+-√17)/2
x^2+x-2=t
(t+2)/t - (t-3)/(t-2) = 1
1 + 2/t - (t-3)/(t-2) = 1
2/t - (t-3)/(t-2) = 0
(2(t-2) - t(t-3))/(t(t-2)) = 0 знаменатели можно отбросить они в одз уже и на результат не влияют
2t - 4 - t^2 + 3t = 0
t^2 -5t + 4 = 0 D=25-16=9
t12 = (5+-3)/2 = 1 4
x^2+x-2=1
x^2+x-3=0
D=1+12=13
x12=(-1+-√13)/2
x^2+x-2=4
x^2+x-6=0
D=1+24=25
x34=(-1+-5)/2= 2 -3
все проходят по одз
x={-3, 2, -1+-√13)/2}
Похожие вопросы
Предмет: Русский язык,
автор: kamabularovhwhejfjf
Предмет: История,
автор: talito611
Предмет: География,
автор: Аноним
Предмет: Алгебра,
автор: aziza37
Предмет: Алгебра,
автор: sexygir13l