Предмет: Алгебра,
автор: ademirova2016
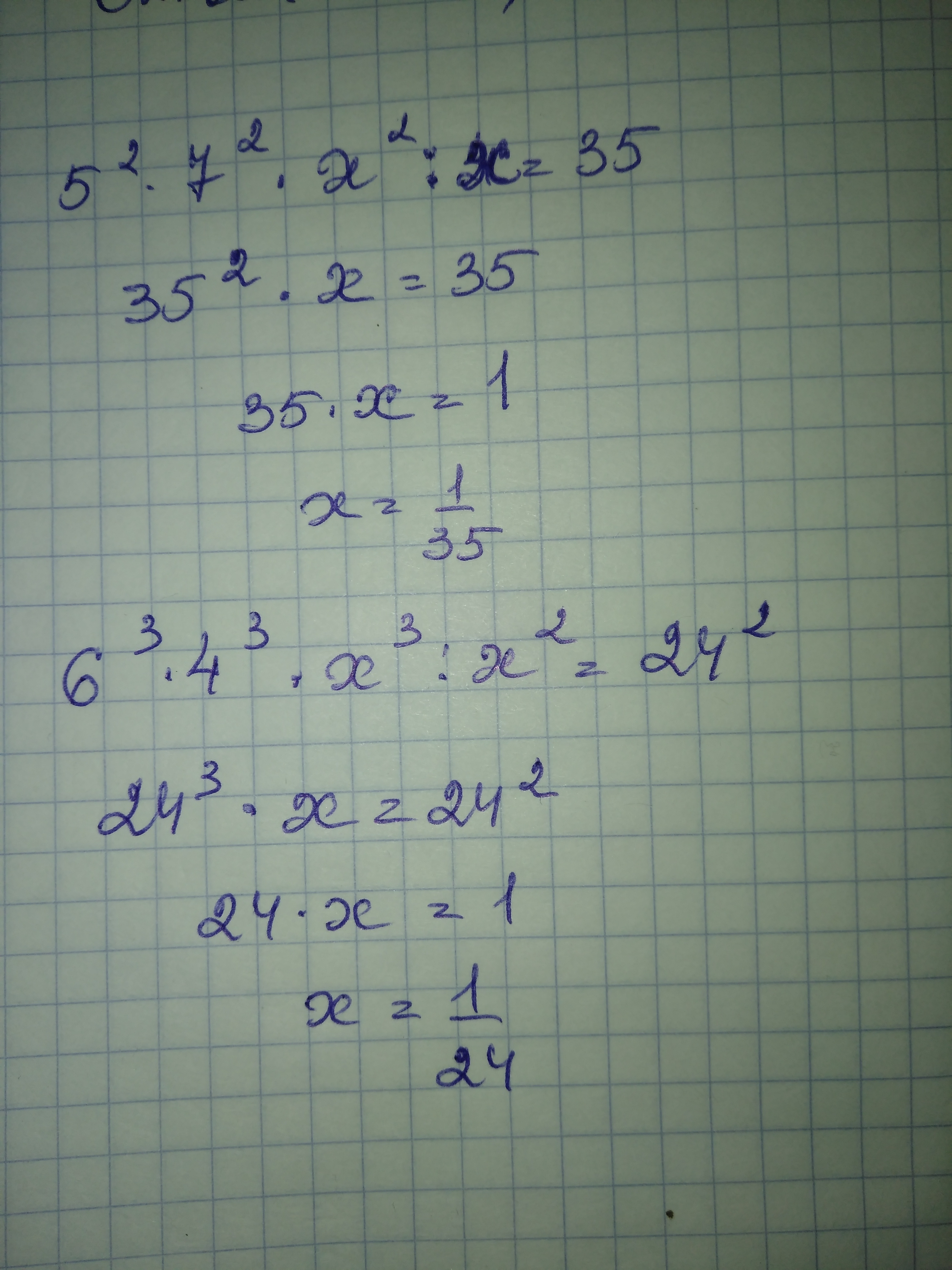
Напишите пожалуйста полное решение номера 26)
Приложения:
Ответы
Автор ответа:
0
Смотри ...................
Приложения:
Похожие вопросы
Предмет: Алгебра,
автор: wewwacutie11
Предмет: Математика,
автор: vladislavzilic
Предмет: Физика,
автор: luseasant
Предмет: Литература,
автор: Hard220
Предмет: Литература,
автор: Настенька0109