Предмет: Геометрия,
автор: mslerakjurlath
СЕРЬЁЗНО ОЧЕНЬ СРОЧНО.ПОМОГИТЕ.
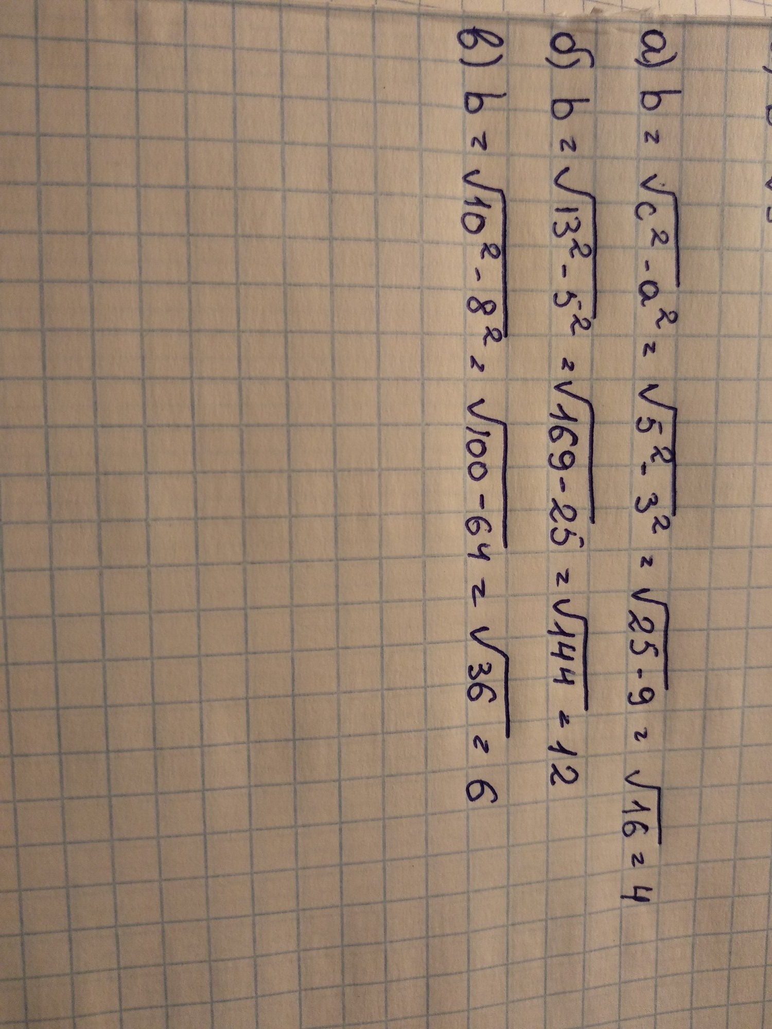
У прямоугольного треугольника заданы гипотенузы с и катет а. Найдите второй катет если: а) с=5,а=3 б) с=13 а=5 в) с=10 а=8
Ответы
Автор ответа:
4
а ето 4
б ето 12
с ето н
б ето 12
с ето н
mslerakjurlath:
спасибо)
Автор ответа:
11
формула :
b=корень из c^2 -a^2
b=корень из c^2 -a^2
Приложения:
ЕЕЕЕЕ. Огромное спасибо
пожалуйста) обращайся
Похожие вопросы
Предмет: Математика,
автор: pibrakova6
Предмет: Физика,
автор: 050307andry
Предмет: Алгебра,
автор: chaos04101988
Предмет: Математика,
автор: type34