Предмет: Математика,
автор: ilona7064
Ребят помогите пж умоляю
Приложения:
Ответы
Автор ответа:
1
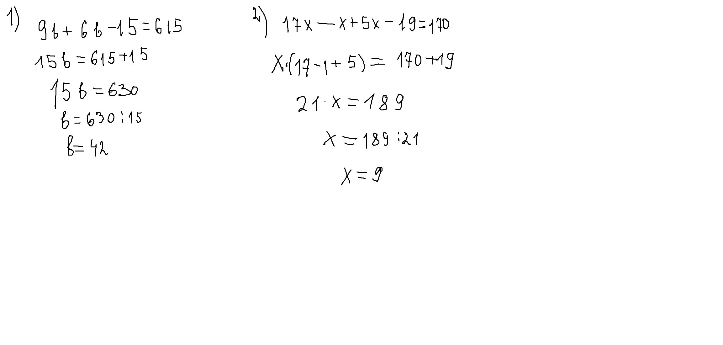
15b=630
B=630/15
B=42
17x-x+5x-19=170
21x=189
X=9
B=630/15
B=42
17x-x+5x-19=170
21x=189
X=9
Автор ответа:
1
решение смотри внизу
Приложения:
Похожие вопросы
Предмет: Математика,
автор: roma1894
Предмет: Английский язык,
автор: Аноним
Предмет: История,
автор: tishenkoanna28
Предмет: Алгебра,
автор: owl6969
Предмет: Алгебра,
автор: dan4ik123121