Предмет: Алгебра,
автор: irishkaelk
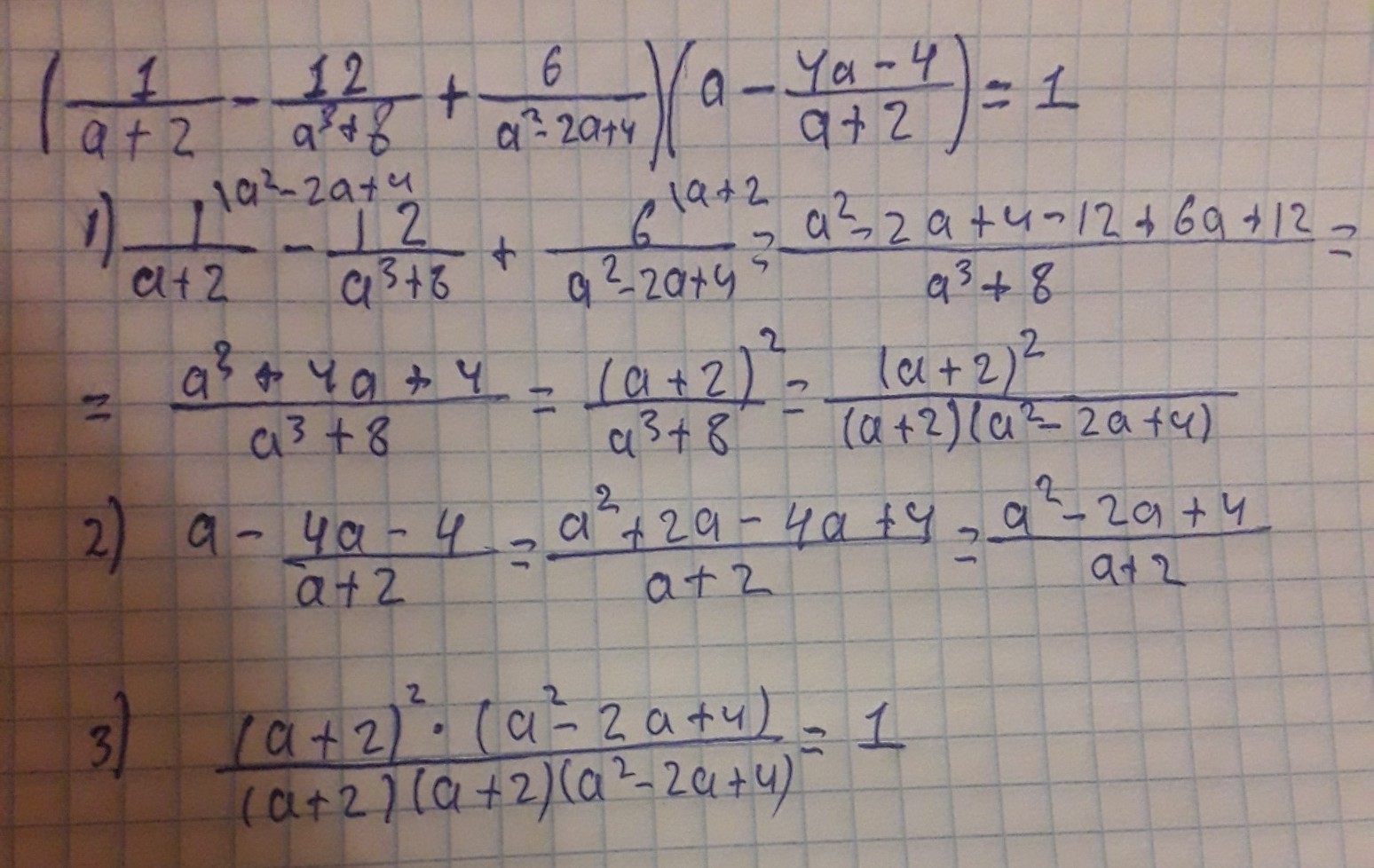
СРОЧНО!!!
помогите пожалуйста с пятым примером второго варианта .
заранее огромное спасибо ❤️
Приложения:
Ответы
Автор ответа:
1
!!!!!!!!!!!!!!!!!!!!!!!!!!!!!!
Приложения:
Автор ответа:
1
____________________
Приложения:
Похожие вопросы
Предмет: Биология,
автор: lerapanoslerapanos
Предмет: Геометрия,
автор: potapovaeva188
Предмет: Математика,
автор: Аноним
Предмет: Математика,
автор: romanov1301
Предмет: Математика,
автор: yankaya0101