Предмет: Математика,
автор: GochaG2314
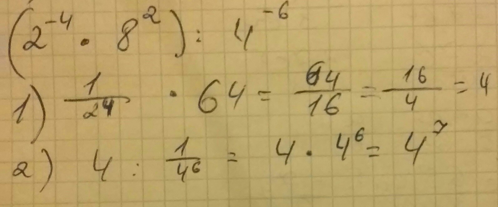
2(в -4 степени) умножить на 8(во 2 степени) и разделить это все на 4(в -6степени)
Ответы
Автор ответа:
2
Решение
2(-4)*8(2)=16(-2)
16(-2):4(-6)=4(-4)
Автор ответа:
1
4(в 7 степени).В первом действии 2 в 4 степени
Приложения:
nikbondarenko1995:
на их же нельзя множить. стпени можно слаживать и отнимать при дейтсвии. если умножение то складываешь, если деление то отнимаешь
Похожие вопросы
Предмет: Английский язык,
автор: ledima027
Предмет: Математика,
автор: resetnikovdima792
Предмет: История,
автор: kirijechki
Предмет: Математика,
автор: приветавсем
Предмет: Алгебра,
автор: doge2730