Предмет: Геометрия,
автор: Ferdany
Пожалуйста срочно /////
Приложения:
Ответы
Автор ответа:
1
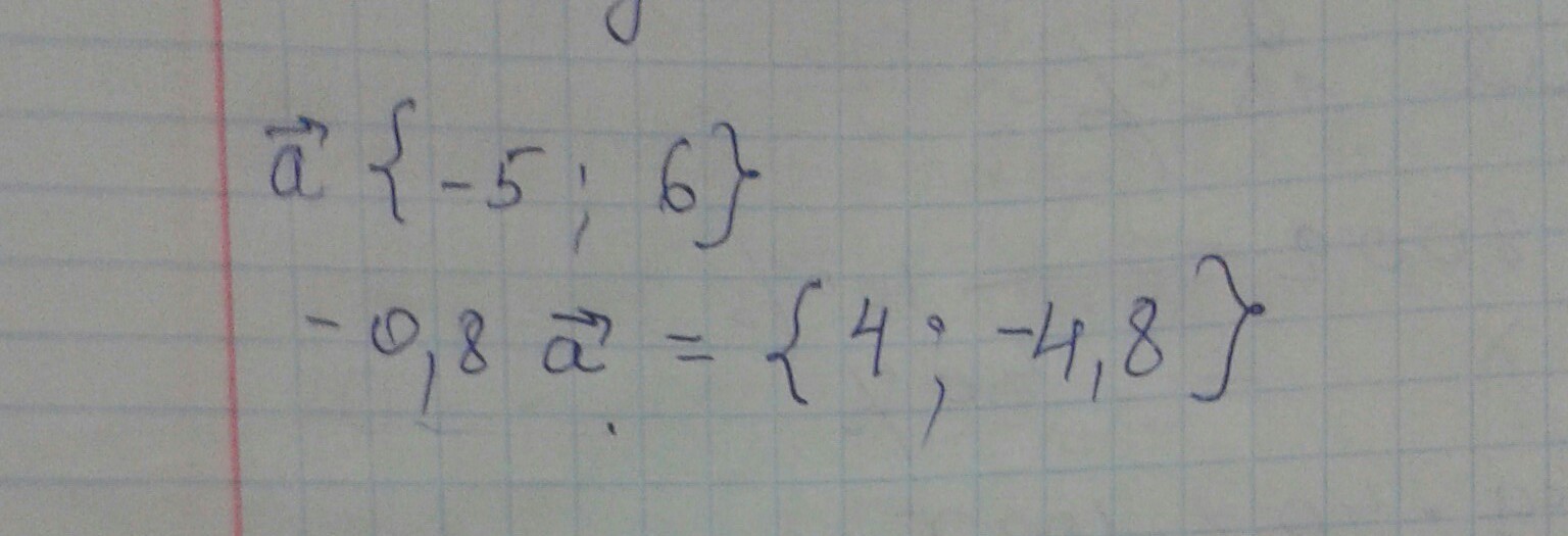
resheniye na fotografiye
Приложения:
Ferdany:
Спасибо большое
Похожие вопросы
Предмет: Алгебра,
автор: dilnazbolatova32
Предмет: Математика,
автор: gertart
Предмет: Английский язык,
автор: Аноним
Предмет: Химия,
автор: rostovalika
Предмет: Химия,
автор: KoIIIka161