Предмет: Алгебра,
автор: GlazedEsmaltado
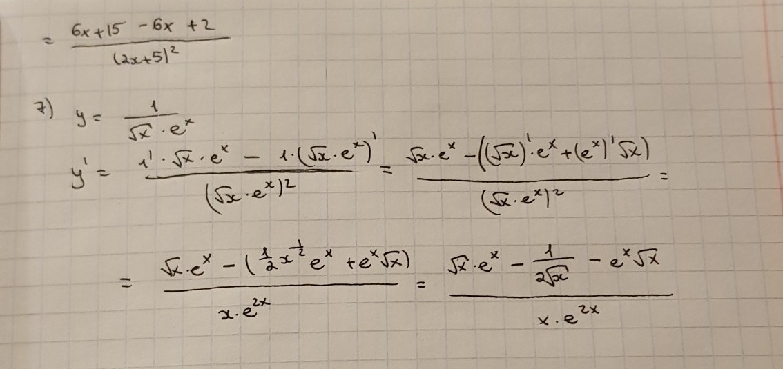
Пожалуйста, найдите ко всем примерам производную.
Приложения:
Ответы
Автор ответа:
1
решение на фотографии
Приложения:
Похожие вопросы
Предмет: Математика,
автор: denis56567567756
Предмет: Обществознание,
автор: aleksandr228005
Предмет: Қазақ тiлi,
автор: mkolosov62
Предмет: Математика,
автор: Аноним
Предмет: Математика,
автор: Кристина6А