Предмет: Алгебра,
автор: reboot50
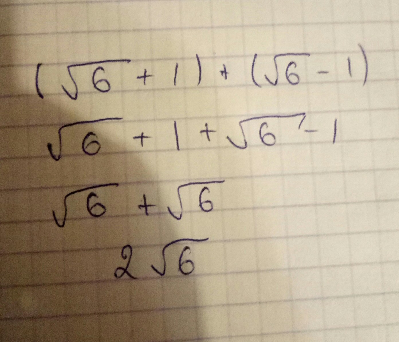
Решите (√6+1)+(√6-1)
Ответы
Автор ответа:
1
вот так ........ .....
Приложения:
Похожие вопросы
Предмет: Французский язык,
автор: mariana196
Предмет: Английский язык,
автор: Yurasic7394
Предмет: История,
автор: schatrovayu1925
Предмет: Математика,
автор: Даша09658
Предмет: Математика,
автор: лида72