Предмет: Алгебра,
автор: linaaaaaa10
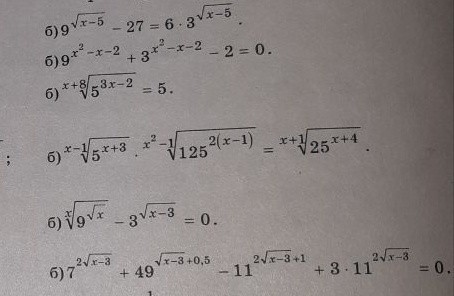
решите пожалуйста)))
Приложения:
Ответы
Автор ответа:
1
Там вместо 9 ошиблась писала х поэтому так вышло
Приложения:
Похожие вопросы
Предмет: Русский язык,
автор: ekaterinatarapaka51
Предмет: История,
автор: sgsoqyssfb
Предмет: Математика,
автор: fainka2021
Предмет: Математика,
автор: лдмдгмщгмгщм
Предмет: Литература,
автор: Хна1