Предмет: Математика,
автор: random47
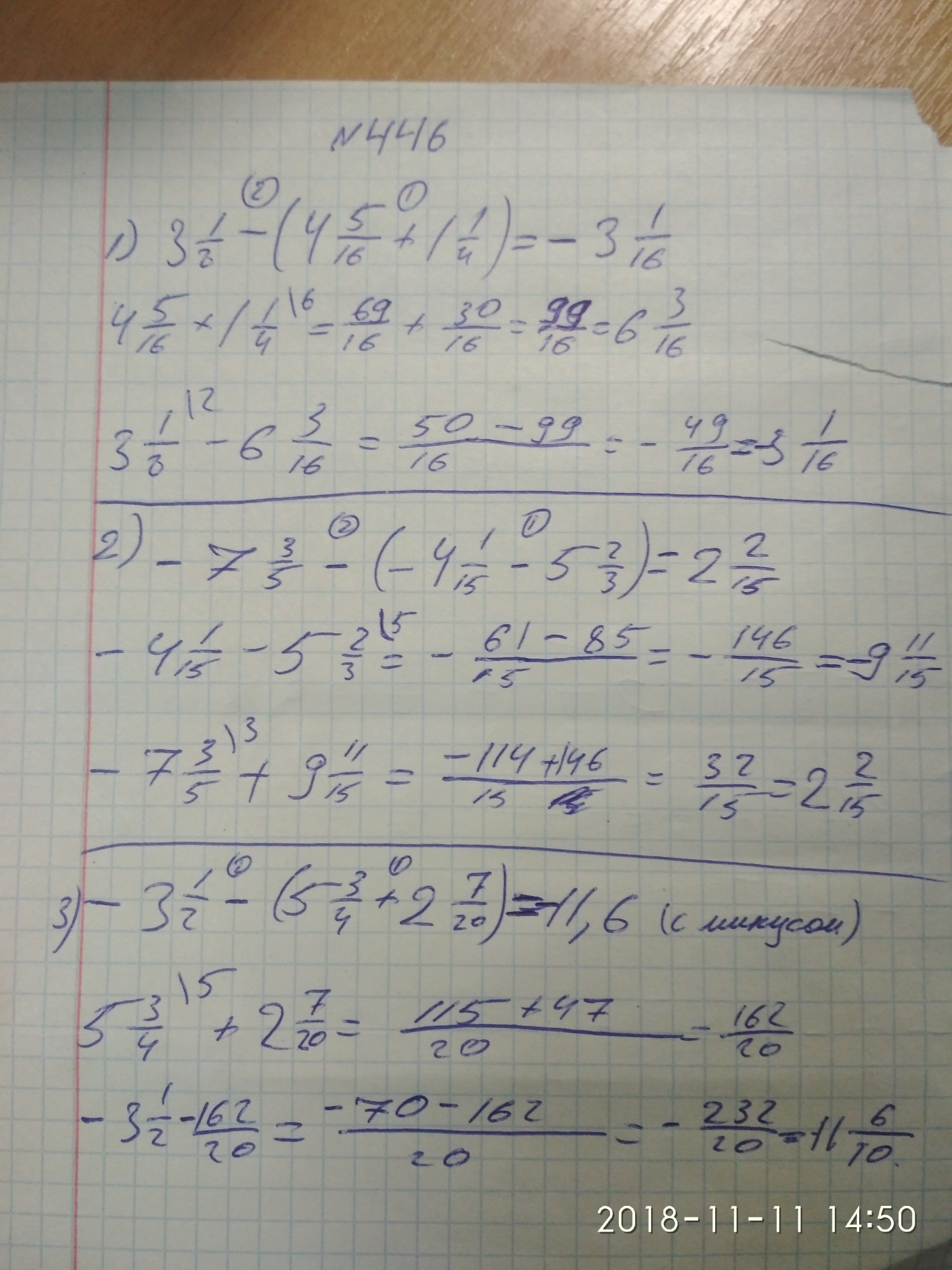
N446
Помогите пожалуйста.
Зарание спасибо!
Приложения:
Ответы
Автор ответа:
1
вроде бы как то так... проверьте сами
Приложения:
random47:
спасибо, правильно
минут 15 сидел, пыхтел)
))
со своими отаетами сверялись?)
или откуда знаете что верно
ответы есть а действий нету
Похожие вопросы
Предмет: Қазақ тiлi,
автор: Аноним
Предмет: Английский язык,
автор: martb06856654
Предмет: Химия,
автор: bymbymmama
Предмет: Литература,
автор: Аноним